Checking My Work: Vanishing Value for \partial F/\partial x | Easy Question

  • Thread starter Thread starter KingBigness
  • Start date Start date
Click For Summary
SUMMARY

The discussion centers on the correct representation of the partial derivative \(\frac{\partial F}{\partial x}\) and its conditions for vanishing. The user sought confirmation on their calculations, which were validated by community members. Key insights include the importance of proper LaTeX formatting, specifically using \(\partial\) instead of \(\delta\) for partial derivatives. The issue was resolved with the correct notation, ensuring clarity in mathematical communication.

PREREQUISITES
  • Understanding of partial derivatives in calculus
  • Familiarity with LaTeX typesetting for mathematical expressions
  • Basic knowledge of functions and their derivatives
  • Experience with mathematical problem-solving techniques
NEXT STEPS
  • Review LaTeX documentation for proper formatting of mathematical symbols
  • Study the properties of partial derivatives in multivariable calculus
  • Explore applications of partial derivatives in optimization problems
  • Practice solving problems involving vanishing derivatives in calculus
USEFUL FOR

Students and educators in mathematics, particularly those focusing on calculus and mathematical notation, as well as anyone involved in creating or interpreting mathematical documents using LaTeX.

KingBigness
Messages
94
Reaction score
0
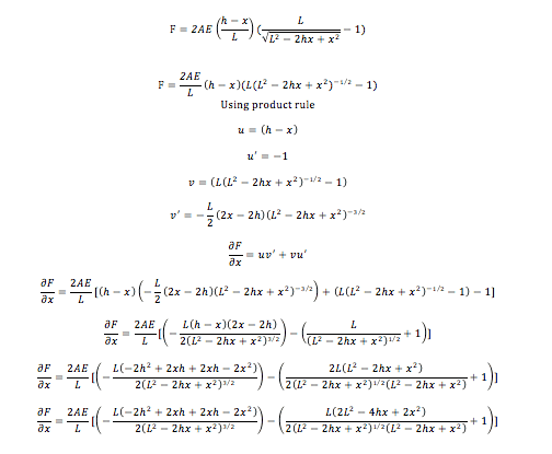
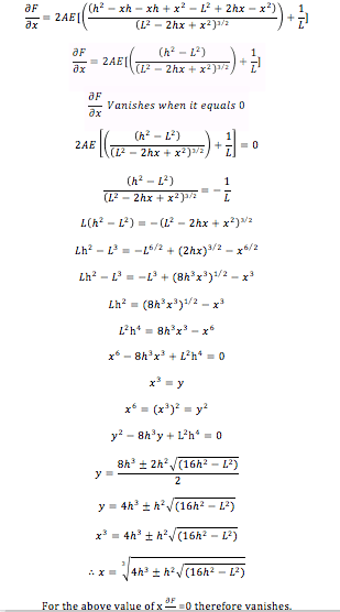
For what value does [itex]\frac{\partial F}{\partial x}[/itex] vanish?

Working is in the attached pictures, easy question just want to make sure I haven't stuffed up

Thank you =D

Mod Edit: Fixed LaTeX. Tip: leave a space between delta and whatever comes after it. If you don't, the LaTeX rendering system doesn't recognize deltaF and similar. Also, for partial derivatives, use \ partial F and \ partial x, not \ delta F and \ delta x.
 

Attachments

  • Screen shot 2011-10-09 at 1.26.19 PM.png
    Screen shot 2011-10-09 at 1.26.19 PM.png
    8.1 KB · Views: 610
  • Screen shot 2011-10-09 at 1.26.45 PM.png
    Screen shot 2011-10-09 at 1.26.45 PM.png
    11.8 KB · Views: 588
Last edited:
Physics news on Phys.org
Solved.
Thanks
 

Similar threads

  • · Replies 2 ·
Replies
2
Views
2K
Replies
5
Views
2K
Replies
1
Views
2K
  • · Replies 12 ·
Replies
12
Views
3K
  • · Replies 15 ·
Replies
15
Views
2K
  • · Replies 10 ·
Replies
10
Views
2K
  • · Replies 5 ·
Replies
5
Views
1K
  • · Replies 2 ·
Replies
2
Views
2K
Replies
1
Views
6K
  • · Replies 9 ·
Replies
9
Views
2K