Circuit Analysis - Laplace notation

Click For Summary

Homework Help Overview

The problem involves analyzing a circuit that behaves like a second-order system but consists of two first-order systems. The scenario describes the state of the circuit before and after a switch is closed, with a focus on determining the peak output voltage and the time it takes to reach that peak using KVL loop equations in Laplace notation.

Discussion Character

  • Exploratory, Conceptual clarification, Mathematical reasoning, Problem interpretation

Approaches and Questions Raised

  • Participants discuss the formulation of KVL equations in Laplace notation and express confusion about the correct setup. There are attempts to clarify the representation of circuit elements and the implications of mutual inductance. Questions arise regarding the correct interpretation of output voltage and the application of Cramer's rule.

Discussion Status

The discussion is ongoing, with participants sharing their attempts and seeking clarification on specific aspects of the problem. Some guidance has been provided regarding the formulation of equations and the use of Laplace transforms, but there is no explicit consensus on the correct approach yet.

Contextual Notes

Participants note difficulties in visualizing the circuit and the implications of the switch's position. There are mentions of potential misunderstandings regarding the output voltage's location and the need for careful attention to signs in the equations.

anol1258
Messages
26
Reaction score
0

Homework Statement



The circuit below uses ideal components and disguises itself as a second order system when in fact it is really two first order systems. Prior to t=0 switch S is open. Then suddenly at t=0 switch S is closed. Find the peak output voltage [itex]V_{0max}[/itex], and the time taken for this peak to occur.
Hint: Use KVL loop equations formulated in Laplace notation.

circuit:

10.jpg


Homework Equations



V=IR

The Attempt at a Solution



Im stuck on most of it. I know how to take the inverse Laplace, but forming the right equations is getting me stuck.
 
Last edited:
Physics news on Phys.org
anol1258 said:

Homework Statement



The circuit below uses ideal components and disguises itself as a second order system when in fact it is really two first order systems. Prior to t=0 switch S is open. Then suddenly at t=0 switch S is closed. Find the peak output voltage [itex]V_{0max}[/itex], and the time taken for this peak to occur.
Hint: Use KVL loop equations formulated in Laplace notation.

circuit:


Homework Equations



V=IR

The Attempt at a Solution



Im stuck on most of it. I know how to take the inverse Laplace, but forming the right equations is getting me stuck.

I can't see your image. By the URL, it looks like it's on a yahoo mail server. Can you upload a copy to the PF server and post it as an attachment? Use the paperclip icon in the edit frame.

By the way, Welcome to PF!
 
Last edited by a moderator:
What do you know about expressing circuit elements in Laplace notation? What have you attempted so far?
 
I know when you differentiate you multiply by s, and when you integrate you divide by s in the frequency domain.
 
Here is what I have so far:

KVL on primary side and secondary side
final10.jpg


I am doing this right?
 
anol1258 said:
Here is what I have so far:

KVL on primary side and secondary side
View attachment 58454

I am doing this right?

You've got the right idea, but the mutual inductance terms should have an 's', and beware of the signs you assign to them; check the current directions with respect to the dots.

Current flowing into the dot in one loop will cause a current to flow out of the dot on the other. In terms of the controlled voltage source that is used to represent the mutual inductance, the voltage source should have a polarity that would want to drive the current in the same direction.
 
Is this correct now?
KVLloop.jpg


Would I now put these equations in matrix form and solve for either I1 or I2?
 
anol1258 said:
Is this correct now?
View attachment 58478

Would I now put these equations in matrix form and solve for either I1 or I2?

Sure. Looks like you'll need I2 in order to find Vout.

Since there are only two equations in two unknowns you could always resort to substitution and solving by hand. Whatever you're comfortable with.
 
Ok. Once I find I2 though how can I solve for Vout. This isn't a simple case where I can use Ohm's Law with the R2.
 
  • #10
anol1258 said:
Ok. Once I find I2 though how can I solve for Vout. This isn't a simple case where I can use Ohm's Law with the R2.

Sure it is. I2 flows through R2. Vout is across R2.

Of course, you'll need to take the inverse Laplace transform to I2 first...
 
  • #11
But there isn't another node on the very bottom right part of the circuit. From looking at the diagram are you sure they are asking Vout across R2?
 
  • #12
anol1258 said:
But there isn't another node on the very bottom right part of the circuit. From looking at the diagram are you sure they are asking Vout across R2?


R2 is situated between the node labeled Vout and the reference node at the bottom (labeled with the ground symbol). So yes, I'm sure.
 
  • #13
Thank you gneill

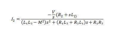
I'm having a hard time putting my current in laplace form so that I can do some inverse laplace on it. Here is the equation for the current:
10.1.jpg
 
  • #14
anol1258 said:
Thank you gneill

I'm having a hard time putting my current in laplace form so that I can do some inverse laplace on it. Here is the equation for the current:
View attachment 58515

Can you show how you arrived at this expression for I2 from your equations in post #7? The result doesn't look quite right to me.
 
  • #15
I did Cramer's rule. I thought it would work for this problem, maybe not.
Here's cramers rule:
cramers.jpg
 
  • #16
yeah I messed up should be:

Laplace.jpg
 
  • #17
How can i do this laplace. Its killin me
 
  • #18
anol1258 said:
How can i do this laplace. Its killin me

I don't think that your Laplace equation for I2 is quite right yet. Can you show me your two KVL loop equations? As I mentioned previously, pay careful attention to the signs of the mutual inductance terms. They are directly dependent upon your choice of loop current direction and the location of the coupling dots.

So, what directions have you chosen for the loop currents? Do they flow into or out of the dots on the coupled inductors? How does this affect the polarity of the induced-voltage source in the other loop?

As for dealing with the Laplace inversion, if you have a quadratic in the denominator you want to reduce the coefficient of the s2 term to unity (1), then factor the quadratic by finding its roots (say, ##\alpha_1## and ##\alpha_2##. Write the quadratic as ##(s - \alpha_1)(s - \alpha_2)##. That should get you going.
 

Similar threads

  • · Replies 1 ·
Replies
1
Views
965
  • · Replies 3 ·
Replies
3
Views
3K
  • · Replies 6 ·
Replies
6
Views
3K
  • · Replies 20 ·
Replies
20
Views
4K
  • · Replies 6 ·
Replies
6
Views
2K
  • · Replies 7 ·
Replies
7
Views
3K
  • · Replies 3 ·
Replies
3
Views
4K
  • · Replies 2 ·
Replies
2
Views
6K
  • · Replies 3 ·
Replies
3
Views
3K
  • · Replies 5 ·
Replies
5
Views
6K