Coefficient Matching for different series

Click For Summary

Homework Help Overview

The original poster discusses coefficient matching in the context of expressing functions as linear combinations of basis functions in a real Hilbert space. The problem involves power series, Legendre polynomials, and spherical harmonics, raising questions about the applicability of coefficient matching beyond polynomials.

Discussion Character

  • Conceptual clarification, Assumption checking

Approaches and Questions Raised

  • The original poster attempts to understand if coefficient matching can be applied to Legendre series and spherical harmonics, questioning the validity of their approach when contradictions arise in coefficients.

Discussion Status

Participants have noted that Legendre polynomials and spherical harmonics are linearly independent, which may influence the original poster's understanding of coefficient matching. There is an exploration of the conditions under which these functions maintain their properties, but no consensus has been reached regarding the original poster's confusion.

Contextual Notes

The original poster expresses uncertainty about the applicability of coefficient matching to non-polynomial series, indicating a potential gap in their understanding of the underlying principles governing these functions.

CGandC
Messages
326
Reaction score
34

Homework Statement


Hello,
I have a general question regarding to coefficient matching when spanning some function, say , f(x) as a linear combination of some other basis functions belonging to real Hilbert space.

Homework Equations


- Knowledge of power series, polynomials, Legenedre polynomials, Spherical harmonics..

The Attempt at a Solution


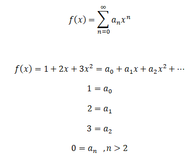
Say I express f(x) as a power series, and f(x) = 1+2x+3x^2 , so, I can match the coefficients as in the following picture:
upload_2018-1-8_21-53-11.png

( no problem there, since the series is a polynomial)

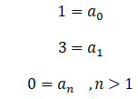
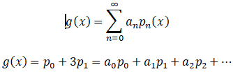
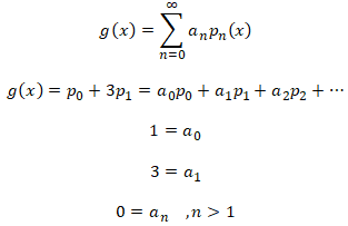
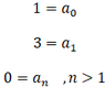
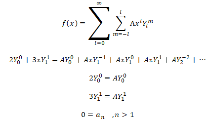
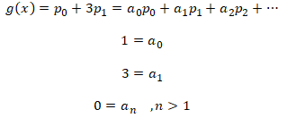
Ok..but what If I now have some function g(x) and I express it as Legendre series (in the x domain: -1 to 1 ) , and I know that
upload_2018-1-8_21-55-17.png
, where the p's are Legendre polynomials. :
upload_2018-1-8_22-24-16.png


My question is , can I apply coefficient matching here? ( as in the next picture: )
upload_2018-1-8_21-58-19.png


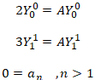
Also, consider the next case:
suppose I have :
upload_2018-1-8_22-10-7.png
, where the Y's are spherical harmonics... and I decide to show 'h' as a series such as this:
upload_2018-1-8_22-11-2.png


then, matching coefficients I get:
upload_2018-1-8_22-11-32.png


Eventually, I get a contradiction , on the one hand : A=2 , on the other hand A=3 , so my understanding of coefficient matching in this part is clearly wrong ( because it aint a series representing polynomials? )... why?

Note:
I was taught that coefficient matching works in polynomials and since power series is a polynomial, but Legendre series and the last series is different... yet, I was not told that coefficient matching does not work in other cases, that makes me troubled as I'm unsure if coefficient matching applies only to polynomials.

Much thanks in advance for helpers.
 

Attachments

  • upload_2018-1-8_21-52-57.png
    upload_2018-1-8_21-52-57.png
    2.4 KB · Views: 612
  • upload_2018-1-8_21-53-11.png
    upload_2018-1-8_21-53-11.png
    2.3 KB · Views: 472
  • upload_2018-1-8_21-55-3.png
    upload_2018-1-8_21-55-3.png
    626 bytes · Views: 582
  • upload_2018-1-8_21-55-17.png
    upload_2018-1-8_21-55-17.png
    651 bytes · Views: 442
  • upload_2018-1-8_21-56-52.png
    upload_2018-1-8_21-56-52.png
    1.6 KB · Views: 571
  • upload_2018-1-8_21-58-9.png
    upload_2018-1-8_21-58-9.png
    779 bytes · Views: 628
  • upload_2018-1-8_21-58-19.png
    upload_2018-1-8_21-58-19.png
    773 bytes · Views: 455
  • upload_2018-1-8_22-7-54.png
    upload_2018-1-8_22-7-54.png
    2.6 KB · Views: 594
  • upload_2018-1-8_22-9-53.png
    upload_2018-1-8_22-9-53.png
    791 bytes · Views: 598
  • upload_2018-1-8_22-9-55.png
    upload_2018-1-8_22-9-55.png
    791 bytes · Views: 584
  • upload_2018-1-8_22-10-7.png
    upload_2018-1-8_22-10-7.png
    791 bytes · Views: 433
  • upload_2018-1-8_22-11-2.png
    upload_2018-1-8_22-11-2.png
    2.5 KB · Views: 451
  • upload_2018-1-8_22-11-32.png
    upload_2018-1-8_22-11-32.png
    914 bytes · Views: 425
  • upload_2018-1-8_22-22-25.png
    upload_2018-1-8_22-22-25.png
    1.3 KB · Views: 623
  • upload_2018-1-8_22-23-24.png
    upload_2018-1-8_22-23-24.png
    1.9 KB · Views: 616
  • upload_2018-1-8_22-24-16.png
    upload_2018-1-8_22-24-16.png
    1.5 KB · Views: 455
Physics news on Phys.org
CGandC said:
My question is , can I apply coefficient matching here?
Yes, the Legendre polynomials are linearly independent.

CGandC said:
Eventually, I get a contradiction , on the one hand : A=2 , on the other hand A=3 , so my understanding of coefficient matching in this part is clearly wrong ( because it aint a series representing polynomials? )... why?
You have different ##A## for each combination of ##\ell## and ##m##. The spherical harmonics are linearly independent.
 
  • Like
Likes   Reactions: CGandC
Orodruin said:
Yes, the Legendre polynomials are linearly independent.You have different ##A## for each combination of ##\ell## and ##m##. The spherical harmonics are linearly independent.

How do I show that Legendre polynomials/Spherical harmonics are linearly independent?
( perhaps using Wronskian? or perhaps because knowing each set is orthogonal to it self, then the set of functions is automatically linearly independent)
 
They are both eigenfunctions of Sturm-Liouville problems.
 
  • Like
Likes   Reactions: CGandC
Orodruin said:
They are both eigenfunctions of Sturm-Liouville problems.

I understand... I have another question:
If I have eigenfunctions that arise from S-L problems, I understand that they are linearly independent... but are they also always orthogonal to each other?
 
CGandC said:
I understand... I have another question:
If I have eigenfunctions that arise from S-L problems, I understand that they are linearly independent... but are they also always orthogonal to each other?
Yes, assuming that it is a regular SL-problem and you use the appropriate inner product.
 
  • Like
Likes   Reactions: CGandC

Similar threads

  • · Replies 3 ·
Replies
3
Views
2K
Replies
3
Views
2K
  • · Replies 1 ·
Replies
1
Views
3K
Replies
9
Views
3K
  • · Replies 1 ·
Replies
1
Views
2K
  • · Replies 1 ·
Replies
1
Views
990
  • · Replies 1 ·
Replies
1
Views
2K
  • · Replies 20 ·
Replies
20
Views
3K
  • · Replies 1 ·
Replies
1
Views
1K
  • · Replies 5 ·
Replies
5
Views
2K