Legendre Polynomials & the Generating function

Click For Summary
SUMMARY

The discussion focuses on Legendre polynomials and their properties, specifically addressing the evaluation of odd Legendre polynomials at zero, where P[2n + 1](0) = 0. This is established due to the odd nature of these polynomials, which results in all coefficients containing a term of x. The user also explores the connection between Legendre polynomials and their generating function, seeking clarity on how to equate the Maclaurin Series expansion to the generating function. The solution was ultimately found, confirming the relationship between these mathematical concepts.

PREREQUISITES
  • Understanding of Legendre polynomials and their properties
  • Familiarity with generating functions in mathematics
  • Knowledge of Maclaurin Series expansions
  • Basic principles of polynomial evaluation
NEXT STEPS
  • Study the properties of Legendre polynomials in detail
  • Learn about generating functions and their applications in polynomial theory
  • Explore Maclaurin Series and their role in approximating functions
  • Investigate the relationship between different types of orthogonal polynomials
USEFUL FOR

Students and educators in mathematics, particularly those studying polynomial theory, mathematical analysis, and anyone involved in advanced calculus or mathematical physics.

dykuma
Messages
55
Reaction score
6

Homework Statement


upload_2016-11-3_23-24-38.png

Homework Equations


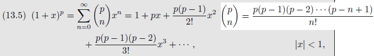
upload_2016-11-3_23-24-49.png

and in chapter 1 I believe that wanted me to note that
upload_2016-11-3_23-35-14.png

The Attempt at a Solution


For the first part of this question, as a general statement, I know that P[2 n + 1](0) = 0 will be true as 2n+1 is an odd number, meaning that L is odd, and so the Legendre polynomial will be odd. With odd Legendre polynomials, every coefficient has a term of x attributed to it (example P3(x) = 1/2(5x^3 - 3x)), so if it were to be evaluated at 0, the result will always be zero. However I am not sure how to prove that using the Generating function.

As for the second part of this question, I am not really sure what to do. For now I am looking for a place to start with that.

[EDIT] I did expand 5.1 as a Maclaurin Series, but I don't see how they want me to equate that to 5.2.
 

Attachments

  • upload_2016-11-3_23-34-33.png
    upload_2016-11-3_23-34-33.png
    5.9 KB · Views: 593
Last edited:
I figured out the solution, just posting it here for sake of completeness.

upload_2016-11-13_21-29-28.png
 

Similar threads

  • · Replies 5 ·
Replies
5
Views
2K
  • · Replies 1 ·
Replies
1
Views
2K
  • · Replies 5 ·
Replies
5
Views
2K
  • · Replies 2 ·
Replies
2
Views
3K
  • · Replies 2 ·
Replies
2
Views
2K
Replies
2
Views
2K
  • · Replies 2 ·
Replies
2
Views
5K
  • · Replies 4 ·
Replies
4
Views
3K
  • · Replies 1 ·
Replies
1
Views
990
Replies
4
Views
2K