College physics problem -- Find gravitational acceleration

Click For Summary

Homework Help Overview

The discussion revolves around calculating the gravitational acceleration of an asteroid in a configuration of four asteroids, each with a mass of 4 x 10^20 kg, arranged at the corners of a square with sides of 150 km. Participants are exploring the gravitational interactions between the asteroids to assess the stability of the proposed configuration for a deep-space station.

Discussion Character

  • Exploratory, Assumption checking, Mathematical reasoning

Approaches and Questions Raised

  • Participants discuss the use of free body diagrams to analyze the forces acting on one asteroid due to the others. There are questions about summing the forces vectorially and how to account for the direction of these forces. Some participants suggest calculating the resultant forces and using them to find acceleration.

Discussion Status

The discussion is active, with participants providing tips on how to approach the problem, including drawing diagrams and labeling forces. There is ongoing exploration of the calculations involved in determining the net force and resulting acceleration, with some participants expressing uncertainty about their results and seeking verification from others.

Contextual Notes

Participants are working under the constraints of a homework assignment, which includes specific requirements for calculating gravitational forces and acceleration. There is a noted confusion regarding the proper application of gravitational formulas and the handling of vector components.

Brij Patel
Messages
9
Reaction score
1

Homework Statement


Here's the question:

As space colonization expands, it's important to build new stations from local materials instead of bringing everything from Earth. Your latest task (besides asking for a raise) is to check the long-term stability of a proposed configuration of asteroids for a deep-space station, far from any stars. The schematic you receive has four 4 x 10^20 kg asteroids configured so that each is at the corner of a square with 150 km sides. The asteroids will gravitationally attract each other, but the designer claims it will be stable for hundreds of years. To check, you want to calculate the acceleration of one of the asteroids in the proposed configuration. Make sure you give both the magnitude and the direction of the acceleration.

Hint: Consider just one of the asteroids and analyze the forces it will feel from the other three.

Note: Far away from Earth, we can't use a constant gravitational force Fg = mg. Instead, we need to use a more general expression: Fg = (Gm1m2)/r^2 , where m1 and m2 are two objects' masses, r is the distance between them, and G is a constant, G = (6.674 x 10^-11)N*m^2/kg^2

Homework Equations


Fg = (G*m1m2)/r^2

The Attempt at a Solution


All I have done is start the free body diagram of one of the asteroids:
https://drive.google.com/file/d/0B2v0qfLe_-1Ea0JoZ2FuU1lNNmM/view?usp=sharing
Can I find the resultant of F m3->m1 and F m2->m1 and add that to F m4->m1 to find the total Fg towards the center?

I'm stuck. Any tips on getting started?
(752 + 752) = 106.07km
asteroid has to travel 106.07km to get to the center.
 
Last edited:
  • Like
Likes   Reactions: berkeman
Physics news on Phys.org
Brij Patel said:

Homework Statement


Here's the question:

As space colonization expands, it's important to build new stations from local materials instead of bringing everything from Earth. Your latest task (besides asking for a raise) is to check the long-term stability of a proposed configuration of asteroids for a deep-space station, far from any stars. The schematic you receive has four 4 x 10^20 kg asteroids configured so that each is at the corner of a square with 150 km sides. The asteroids will gravitationally attract each other, but the designer claims it will be stable for hundreds of years. To check, you want to calculate the acceleration of one of the asteroids in the proposed configuration. Make sure you give both the magnitude and the direction of the acceleration.

Hint: Consider just one of the asteroids and analyze the forces it will feel from the other three.

Note: Far away from Earth, we can't use a constant gravitational force Fg = mg. Instead, we need to use a more general expression: Fg = (Gm1m2)/r^2 , where m1 and m2 are two objects' masses, r is the distance between them, and G is a constant, G = (6.674 x 10^-11)N*m^2/kg^2

Homework Equations


Fg = (G*m1m2)/r^2

The Attempt at a Solution


All I have done is start the free body diagram of one of the asteroids. I'm stuck. Any tips on getting started?
(752 + 752) = 106.07km
Can you post a (clear) picture of your FBD? You can use the UPLOAD button to upload a *.JPG picture. You should be showing the 4 masses at the corners of the square, with three force vectors shown on one of the four masses... Can you write the sum of the 3 vector forces on that one mass?
 
berkeman said:
Can you post a (clear) picture of your FBD? You can use the UPLOAD button to upload a *.JPG picture. You should be showing the 4 masses at the corners of the square, with three force vectors shown on one of the four masses... Can you write the sum of the 3 vector forces on that one mass?
Where is the upload button? I tried to embed a google drive link but it didn't work. Here's the link though: https://drive.google.com/file/d/0B2v0qfLe_-1Ea0JoZ2FuU1lNNmM/view?usp=sharing
 
Brij Patel said:
Where is the upload button? I tried to embed a google drive link but it didn't work. Here's the link though: https://drive.google.com/file/d/0B2v0qfLe_-1Ea0JoZ2FuU1lNNmM/view?usp=sharing
The UPLOAD button is in the lower right part of the Reply dialog box. At least it is on PCs and Laptops, I'm not sure if it works with phones and tablets.

Your FBD looks fine. So now just write the 3 vector forces and sum them up vectorially. The force depends on the masses and the separation distances, as you listed in your OP. :smile:
 
20160218_183311.jpg
 
berkeman said:
The UPLOAD button is in the lower right part of the Reply dialog box. At least it is on PCs and Laptops, I'm not sure if it works with phones and tablets.

Your FBD looks fine. So now just write the 3 vector forces and sum them up vectorially. The force depends on the masses and the separation distances, as you listed in your OP. :smile:

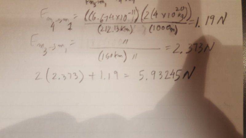
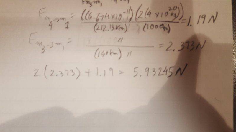
I calculated F m3->m1(2372978N) + F m2->m1(2372978N) + F m4->m1(1186400N) and got 5932356N
Is that correct?
(EDIT: this is wrong)
 
Last edited:
Brij Patel said:
I calculated F m3->m1(2372978N) + F m2->m1(2372978N) + F m4->m1(1186400N) and got 5932356N
Is that correct?

Beats me. Can you show how you summed the x & y components of each force to get the overall x & y force components? And then how that gives you the overall magnitude and direction of the net force?
 
Brij Patel said:
Make sure you give both the magnitude and the direction of the acceleration.
BTW, the answer they are looking for is the final resultant acceleration, not just the force. :smile:
 
berkeman said:
Beats me. Can you show how you summed the x & y components of each force to get the overall x & y force components? And then how that gives you the overall magnitude and direction of the net force?
20160218_192031.jpg

So 5.9N is the total force m4 and m1. And then I plan on using f = ma.
use (5.9N = (4 * 10^20) * a) to find acceleration?
btw, I found 212.13km as the distance between m4 and m1 by using sqrt(150^2+150^2)
 
  • #10
Brij Patel said:
View attachment 96091
So 5.9N is the total force m4 and m1. And then I plan on using f = ma.
use (5.9N = (4 * 10^20) * a) to find acceleration?
btw, I found 212.13km as the distance between m4 and m1 by using sqrt(150^2+150^2)
It's a little hard to read what you are doing, but it sounds like you are taking the right approach. I'd draw a new version of the 4-mass square, and label the 3 forces acting on m1 as vectors aiming at the respective masses. Then show separate sums for the x & y components, using an x-y coordinate system centered on m1. Then it should be easy to add up the vector components and keep going. :smile:
 
  • #11
berkeman said:
It's a little hard to read what you are doing, but it sounds like you are taking the right approach. I'd draw a new version of the 4-mass square, and label the 3 forces acting on m1 as vectors aiming at the respective masses. Then show separate sums for the x & y components, using an x-y coordinate system centered on m1. Then it should be easy to add up the vector components and keep going. :smile:

calculated the resultant of F m2->m1 and F m3->m1 = 3.356N
3.356 + 1.19(F m4->m1) = 4.546N
a = 4.456N/(4 * 10^20kg) = 1.114*10^-20 m/s^2
Since you're the only one replying, Can you please do the math to make sure the acceleration is correct?
 
  • #12
Brij Patel said:
calculated the resultant of F m2->m1 and F m3->m1 = 3.356N
3.356 + 1.19(F m4->m1) = 4.546N
a = 4.456N/(4 * 10^20kg) = 1.114*10^-20 m/s^2
Since you're the only one replying, Can you please do the math to make sure the acceleration is correct?
But the three force vectors point in different directions. I'm not understanding how you handled that part...
 
  • #13
Brij Patel said:
View attachment 96091
So 5.9N is the total force m4 and m1. And then I plan on using f = ma.
use (5.9N = (4 * 10^20) * a) to find acceleration?
btw, I found 212.13km as the distance between m4 and m1 by using sqrt(150^2+150^2)
If you are trying to calculate the gravitational force between two masses, m1 = m2 = 4 × 1020 kg, you must use the product of the masses, not the sum of the masses, in your formula.

m1 × m2 ≠ 2 (4 × 1020 kg)
 

Similar threads

Replies
1
Views
2K
  • · Replies 5 ·
Replies
5
Views
2K
Replies
2
Views
3K
Replies
23
Views
3K
  • · Replies 6 ·
Replies
6
Views
4K
  • · Replies 3 ·
Replies
3
Views
2K
Replies
16
Views
2K
  • · Replies 2 ·
Replies
2
Views
2K
  • · Replies 7 ·
Replies
7
Views
5K
  • · Replies 20 ·
Replies
20
Views
2K