paulimerci
- 287
- 47
- Homework Statement
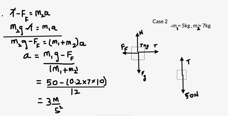
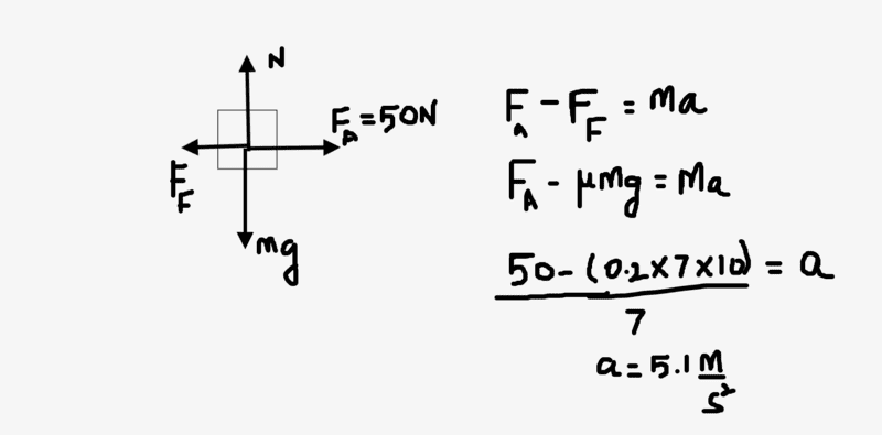
- A 7kg block rests initially on a table in case 1 and case 2 above. The coefficient of friction between the block and the table is 0.2. The block is attached by a cord of negligible mass which hangs over a frictionless pulley. In case 1 a force of 50N is exerted on the pulley and in case 2, a 5kg mass is hung. Calculate the acceleration of the system in case 1 and in case 2.
- Relevant Equations
- F = ma
In both the cases 7 kg mass accelerates towards the right because of the 50N force. The unbalanced forces in both the cases are the force of gravity due to 5kg block and force of friction. Applying Newton's second law of motion to cases 1 and 2 yields the following results for acceleration:
Where m1=5kg, m2 = 7kg, g=10m/s2
Case 1,
a = Net force/ total mass
a = m1g - friction force/(m1+m2)
= m1g - friction force/ (m1+m2)
= 50 - (0.2x7x10)/12 = 3m/s2
Case2,
a = Net force/ total mass
a = m1g - friction force/(m1+m2)
= 50 - (0.2x7x10)/12 = 3m/s2
In both the cases acceleration came out to be the same. But the textbook gives a different answer where Case 1 acceleration is greater than Case 2. Does that mean in Case 1 the surface is taken as frictionless?
Where m1=5kg, m2 = 7kg, g=10m/s2
Case 1,
a = Net force/ total mass
a = m1g - friction force/(m1+m2)
= m1g - friction force/ (m1+m2)
= 50 - (0.2x7x10)/12 = 3m/s2
Case2,
a = Net force/ total mass
a = m1g - friction force/(m1+m2)
= 50 - (0.2x7x10)/12 = 3m/s2
In both the cases acceleration came out to be the same. But the textbook gives a different answer where Case 1 acceleration is greater than Case 2. Does that mean in Case 1 the surface is taken as frictionless?

