Commutation relation using Levi-Civita symbol

Click For Summary

Homework Help Overview

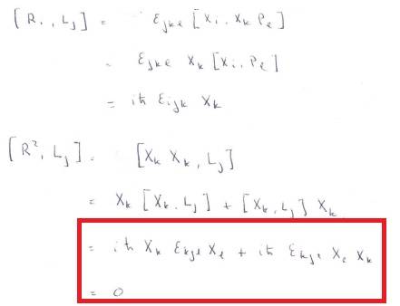
The discussion revolves around computing the commutation relations of the position operator R and the angular momentum L, specifically focusing on the second part of the question regarding the commutation relations of R^2 with L. Participants are examining the implications of the Levi-Civita symbol in this context.

Discussion Character

  • Conceptual clarification, Assumption checking

Approaches and Questions Raised

  • Participants are exploring why certain terms in the commutation relation cancel out, questioning the commutativity of the position vector. There is also discussion about specific cases where indices k and l are not equal, and how this affects the terms involved.

Discussion Status

The discussion is active, with participants providing insights and prompting each other to explore specific cases and terms. Some guidance has been offered regarding the evaluation of terms and the implications of fixed values in the equations.

Contextual Notes

There is an emphasis on the specific case where j is fixed, which influences the evaluation of the terms in the commutation relations. Participants are considering the implications of this constraint on their calculations.

davon806
Messages
147
Reaction score
1

Homework Statement


Hi,I have got a question as follow:
Compute the commutation relations of the position operator R and the angular momentum L.Deduce the commutation relations of R^2 with the angular momentum L

Homework Equations

The Attempt at a Solution


In fact I have got the solutions to this problem.I am having trouble for the 2nd part of the question.
In the red box of the image,why did the terms cancel out?Since position vector is commutative I expect they should add up?

Thanks!
 

Attachments

  • Q.jpg
    Q.jpg
    9.4 KB · Views: 1,131
Physics news on Phys.org
You are correct that the two terms in the first line of the red box are equal. Try to show that each term separately equals zero.
 
TSny said:
You are correct that the two terms in the first line of the red box are equal. Try to show that each term separately equals zero.
But if k =/= l ,then the first term becomes i(h bar) (x1x2 + x2x1+x3x2+x2x3 + x3x1 + x1x3)?
 
Note that ##j## is some fixed value.

Take the specific case where ##j = 1##. Then what does the first term become when you sum over ##k## and ##l##?
 
TSny said:
Note that ##j## is some fixed value.

Take the specific case where ##j = 1##. Then what does the first term become when you sum over ##k## and ##l##?
So if j =1,then we can either have k = 2,l = 3 or k = 3,l = 2.Hence the nonzero possibility of epsilon becomes e(132) or e(123)
i(h bar)(x2x3 - x3x2) =0 ?
 
Yes, that's correct.
 
  • Like
Likes   Reactions: davon806

Similar threads

  • · Replies 3 ·
Replies
3
Views
3K
  • · Replies 3 ·
Replies
3
Views
2K
  • · Replies 6 ·
Replies
6
Views
3K
  • · Replies 3 ·
Replies
3
Views
5K
Replies
1
Views
4K
Replies
2
Views
4K
  • · Replies 1 ·
Replies
1
Views
2K
  • · Replies 3 ·
Replies
3
Views
3K
  • · Replies 4 ·
Replies
4
Views
2K
  • · Replies 6 ·
Replies
6
Views
8K