[Complex variables] z^4 - 4z^2 +4 -2i = 0

Click For Summary

Homework Help Overview

The discussion revolves around solving the complex equation z4 - 4z2 + 4 - 2i = 0, with participants exploring the implications of manipulating complex numbers and the validity of certain algebraic steps.

Discussion Character

  • Exploratory, Conceptual clarification, Mathematical reasoning, Assumption checking

Approaches and Questions Raised

  • Participants discuss the step (z2 - 2)2 = (1+i)2 and question the validity of deriving z2 - 2 = 1+i or -1-i from it. There is a focus on understanding the nature of square roots in the complex plane.
  • Some suggest using a substitution (z2 = t) to apply the quadratic formula, while others inquire about the general applicability of algebraic identities involving complex numbers.
  • Questions arise regarding the distributive law and its validity for complex numbers, as well as the multi-valued nature of functions in complex analysis.

Discussion Status

The discussion is active, with participants providing insights into the properties of complex numbers and their implications for solving the equation. There is no explicit consensus, but various approaches and clarifications are being explored, indicating a productive exchange of ideas.

Contextual Notes

Participants express uncertainty about the assumptions underlying the algebraic manipulations and the nature of solutions in the complex domain. The original problem is framed within the constraints of a textbook example, which may limit the exploration of more general methods.

kingwinner
Messages
1,266
Reaction score
0

Homework Statement


"This is an example from my textbook:
Solve the equation z4 - 4z2 + 4 - 2i = 0

Solution:
Rearranging, we get z4 - 4z2 + 4 = 2i
or (z2 - 2)2 = 2i = (1+i)2
This has solutions z2 - 2 = 1+i or -1-i.
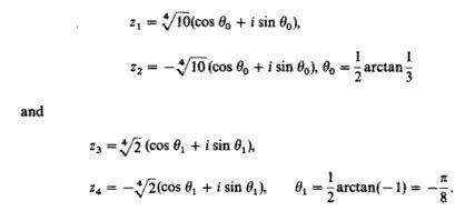
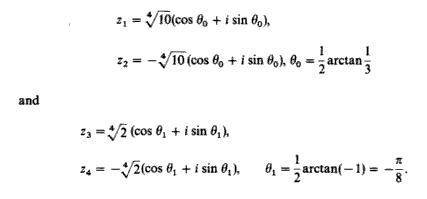
Equivalently z2=3+i or z2=1-i

These may be solved to give the 4 solutions of the original equation.
cv1.JPG
"
==========================

I don't understand the following step:
(z2 - 2)2 = (1+i)2 => z2 - 2 = 1+i or -1-i

Why is this true? I remember for real numbers we have √(x2) = |x| (note that it is |x|, not x). Is this true for complex numbers? If so, then
(z2 - 2)2 = (1+i)2
=> z2 - 2 = +/- √[(1+i)2] = +/- |1+i| ?

Homework Equations


N/A

The Attempt at a Solution


Shown above.

I hope someone can explain this. Any help is appreciated!
 
Last edited:
Physics news on Phys.org
Make this substitution: z^2 = t
and solve by the quadratic formula: t^2 - 4t + (4 - 2i) = 0
get the answers, go back to the substitution and get in total 4 roots (some roots may be the same).
 
kingwinner said:
I don't understand the following step:
(z2 - 2)2 = (1+i)2 => z2 - 2 = 1+i or -1-i

Why is this true? I remember for real numbers we have √(x2) = |x| (note that it is |x|, not x). Is this true for complex numbers?
That is true for real numbers.

However, you may have forgotten your equation solving: if you know that x2=a2, then x could be either a or it could be -a. In the real numbers, if you solved this equation by taking the (real) square root of both sides, you get |x|=|a|, not x=|a|.

Anyways, in the complexes, x2 has two square roots, just as in the reals. Note that |x| usually isn't one of them. The principal square root (the analog of the real √ function) is the square root that either has positive imaginary part, or lies on the non-negative real axis. The other square root is its negative, as usual.

Incidentally, even in the complexes, if you know that x2=a2, then it is also true that |x|=|a|. However, you can't do much with that, because there are lots of possible values for x, but only 2 of them satisfy the original equation
 
I see.

Then how can we actually justify or rigorously prove that
(z2 - 2)2 = (1+i)2 => z2 - 2 = 1+i or -1-i ??
 
kingwinner said:
I see.

Then how can we actually justify or rigorously prove that
(z2 - 2)2 = (1+i)2 => z2 - 2 = 1+i or -1-i ??

Because we know (1+i)2 has two square roots, and its obvious that those are them. Similarly, the two square roots of (z2-2)2 are obvious.

Alternatively, bring them together and factor.
 
But can we factorize/expand as usual when z and c are COMPLEX numbers??
(z-c)(z+c) = z^2 - c^2

If so, why?
 
Why can you do it for real numbers? The same reason applies here.
 
For real numbers, it's true because we can expand it; I think it's called distributive law.

Does this still hold for complex numbers z and c?
 
kingwinner said:

Homework Statement


"This is an example from my textbook:
Solve the equation z4 - 4z2 + 4 - 2i = 0

Solution:
Rearranging, we get z4 - 4z2 + 4 = 2i
or (z2 - 2)2 = 2i = (1+i)2
This has solutions z2 - 2 = 1+i or -1-i.
Equivalently z2=3+i or z2=1-i

These may be solved to give the 4 solutions of the original equation.
cv1.JPG
"
==========================

I don't understand the following step:
(z2 - 2)2 = (1+i)2 => z2 - 2 = 1+i or -1-i

Why is this true? I remember for real numbers we have √(x2) = |x| (note that it is |x|, not x). Is this true for complex numbers? If so, then
(z2 - 2)2 = (1+i)2
=> z2 - 2 = +/- √[(1+i)2] = +/- |1+i| ?
What you need to remember is not [itex]\sqrt{x^2}= |x|[/itex] (even for complex x, |x| is positive real number) but rather that the equation [itex]x^2= a^2[/itex] has the two roots x= a and x= -a. And, yes, that is true for complex numbers!

(A little more about [itex]\sqrt{x^2}= |x|[/itex]. Working in the real numbers, we like functions to have one value for a given value of the argument- in fact, that is part of the definition of "function". That's why we define [math]\sqrt{a}[/math] to be the positive number whose square is a: [math]\sqrt{x^2}= |x|. But in the complex numbers we cannot do that- the complex numbers do not form an "ordered field" and, in particular, we cannot talk about "positive complex numbers". We have to accept "multi-valued functions" and, in fact, almost all functions, even those that are simple functions in the real numbers, become mult-valued functions over the complex numbers.)

Homework Equations


N/A

The Attempt at a Solution


Shown above.

I hope someone can explain this. Any help is appreciated!
 
  • #10
kingwinner said:
For real numbers, it's true because we can expand it; I think it's called distributive law.

Does this still hold for complex numbers z and c?
The distributive law? Yes...

(And the distributive law is easy to prove if you weren't sure about it)
 
  • #11
The method used in the example seems to apply only in very special cases.
Is there a more general way to solve z4 - 4z2 + 4 - 2i = 0 ? Can we use the quadratic formula here? If so, can someone please outline the steps of solving this problem using the quadratic formula? (because I don't quite understand how to use it here and how we are supposed to get FOUR solutions this way)

Thanks!
 
  • #12
The example solution is pretty much another form of the quadratic formula. They instead just completed the square. But if you want to try it out, just let u=z2 and solve for u, then substitute back
 

Similar threads

  • · Replies 4 ·
Replies
4
Views
2K
  • · Replies 8 ·
Replies
8
Views
1K
  • · Replies 3 ·
Replies
3
Views
2K
Replies
6
Views
2K
  • · Replies 6 ·
Replies
6
Views
2K
  • · Replies 2 ·
Replies
2
Views
3K
  • · Replies 22 ·
Replies
22
Views
2K
Replies
4
Views
3K
  • · Replies 3 ·
Replies
3
Views
2K
  • · Replies 11 ·
Replies
11
Views
2K