Concentric conducting spherical shells

Click For Summary
SUMMARY

This discussion focuses on the analysis of three concentric conducting spherical shells with potentials 0, ø_0, and 0, and radii a, b, and c, respectively. The conditions for applying Laplace's equation require that the potential at the surface of the shells remains constant, while the electric field E approaches zero as r approaches infinity. The potential ø is derived as ø = A + B/r, leading to specific values for A and B based on boundary conditions. The charge density σ_b is calculated as σ_b = ø_0ε_0/(2b), and the electrostatic energy is determined using the integral of E squared over the volume.

PREREQUISITES
  • Understanding of Laplace's equation in electrostatics
  • Familiarity with electric field and potential relationships
  • Knowledge of boundary conditions in electrostatics
  • Proficiency in calculus for integrating electric field energy
NEXT STEPS
  • Study the application of Laplace's equation in spherical coordinates
  • Learn about boundary value problems in electrostatics
  • Explore the superposition principle in electrostatic systems
  • Investigate the derivation of electric field from potential functions
USEFUL FOR

Students and professionals in physics, particularly those focusing on electrostatics, electrical engineers, and anyone studying electromagnetic theory.

unscientific
Messages
1,728
Reaction score
13

Homework Statement



Consider three concentric conducting shells, with potentials [tex]0, ø_0, 0[/tex] and radius [tex]a, b ,c[/tex] where [tex]a < b < c[/tex].

(a)State conditions for Laplace to work and boundary conditions for E

(b)Show ø is of the form:

(c) Find ø and E everywhere.

(d) Find the charge density and electrostatic energy.

29bey38.png

Homework Equations


The Attempt at a Solution



Part (a)

Condition for laplace: Potential at surface of shells must be constant
Boundary Conditions for E: As [tex]r → \infty |\vec {E}| → 0[/tex]

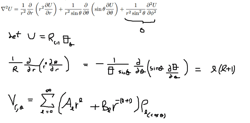
Part (b)
29vxs8n.png


Consider [tex]r → \infty , V → const.[/tex]

[tex]\sum_{l=0}^{\infty} (A_l r^l)P_{l cosθ} → const.[/tex]

This implies that [tex]l = 0[/tex] is the only solution.

Thus, general solution for ø:
[tex]ø = A + \frac {B}{r}[/tex]

Part (c)
1. ø must be continuous at r= a, so [tex]ø_{in} = ø_{out}[/tex] at r=a.
2. Potential at r = a is 0.
We obtain two simultaneous equations:
[tex]A = \frac {B}{a}[/tex]
[tex]0 = A + \frac {B}{a}[/tex]
So this implies [tex]A = B = 0[/tex] for the first shell.

Middle shell
At r = b, [tex]ø_0 = A + \frac {B}{a}[/tex]
Continuity: [tex]ø_{in} = ø_{out} <br /> so [tex]Ab = B[/tex]<br /> Solving, we get [tex]ø_{in} = \frac {ø_0}{2}, ø_{out} = \frac{bø_0}{2r}[/tex]<br /> <br /> <b>Outermost Shell</b><br /> Does nothing, as shown above.<br /> <br /> Using superposition principle, so far we have:<br /> [tex]ø = \frac {ø_0}{2} (0 < r <b)[/tex]<br /> [tex]ø = \frac {ø_0b}{2r} (r > b)[/tex]<br /> <br /> Using [tex]E = - \nabla ø[/tex]<br /> <br /> [tex]E = 0 (0 < r < b)[/tex]<br /> [tex]E = \frac {bø_0}{2r^2} (r > b)[/tex]<br /> <br /> <b><u>Graphs</u></b><br /> <div class="bbImageWrapper js-lbImage" title="212cw15.png" data-src="https://www.physicsforums.com/attachments/212cw15-png.166574/" data-lb-sidebar-href="" data-lb-caption-extra-html="" data-single-image="1"> <img src="https://www.physicsforums.com/attachments/212cw15-png.166574/" data-url="" class="bbImage" data-zoom-target="1" style="" alt="212cw15.png" title="212cw15.png" width="712" height="321" loading="lazy" decoding="async" /> </div><br /> <br /> <u><b>Part(d)</b></u><br /> <br /> At [tex]r = b, \vec{E} = -\nabla V[/tex]<br /> [tex](\frac {\partial {V_{out}}}{\partial {r}} - \frac{\partial {V_{in}}}{\partial {r}}) = -\frac {σ_b}{ε_0}[/tex]<br /> [tex](\frac {-bø_0}{2b^2}) = -\frac {σ}{ε_0}[/tex]<br /> [tex]σ_b = \frac {ø_0ε_0}{2b}[/tex]<br /> <br /> For r = a,<br /> [tex](\frac {\partial {V_{a,out}+V_{b,in}}}{\partial r} - \frac {\partial {V_{a,out}+V_{b,in}}}{\partial r}) = 0[/tex]<br /> So [tex]σ_a = 0[/tex]<br /> <br /> [tex]Energy = \frac{1}{2} ε_0 \int_{a}^{c} E^2 dV = \frac {1}{2} ε_0 \int_b^c \frac {bø_0}{2r^2} dr = \frac {1}{4}ε_0bø_0(\frac {c-b}{bc})[/tex][/tex]
 
Last edited:
Physics news on Phys.org
bumpp
 
bumppp
 

Similar threads

  • · Replies 5 ·
Replies
5
Views
1K
Replies
13
Views
4K
Replies
16
Views
2K
  • · Replies 4 ·
Replies
4
Views
2K
Replies
3
Views
3K
  • · Replies 30 ·
2
Replies
30
Views
4K
  • · Replies 22 ·
Replies
22
Views
4K
Replies
2
Views
2K
Replies
6
Views
5K
  • · Replies 1 ·
Replies
1
Views
2K