Concepts about infinite potential well

Click For Summary

Discussion Overview

The discussion revolves around the concepts related to the infinite potential well in quantum mechanics, particularly focusing on stationary states, Fourier series, and the relationship between these concepts. Participants explore theoretical aspects, clarifications on specific questions, and mathematical representations without seeking definitive answers.

Discussion Character

  • Exploratory
  • Technical explanation
  • Conceptual clarification
  • Debate/contested

Main Points Raised

  • One participant expresses confusion about the requirement to prove stationary states in part 2 of a question regarding the infinite potential well.
  • Another participant explains that a constant function can be expanded in a Fourier sine series, noting that it is constant only at a fixed time t=0.
  • A participant asks for clarification on the relationship between Fourier series and the infinite square well.
  • Further clarification is provided on stationary states, indicating that they are characterized by time-independent probability densities and expectation values.
  • A mathematical representation of the wave function for the infinite square well is presented, showing how any state can be expressed as a linear combination of stationary states, akin to a Fourier series.

Areas of Agreement / Disagreement

Participants express varying levels of understanding regarding the relationship between stationary states and Fourier series. There is no consensus on the clarity of the concepts, as some participants seek further explanation while others provide insights.

Contextual Notes

Some participants may have assumptions about the definitions and implications of stationary states and Fourier series that are not explicitly stated. The discussion includes unresolved questions about the nature of the constant function in relation to the potential well.

VHAHAHA
Messages
58
Reaction score
0
1381506191751.jpg

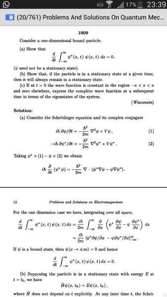
As we know, the 1d infinite potential well has a stationary state. The function that depends on x onky is a sin function.
However, I don't understand the concept in this question. I have the answer of this question and this is not a homework. I am not asking for the answer so please don't put this post to the homework section.
I don't understand the part 2 of this question because the potential well should be in stationary state. Why i need to prove it in part 2?
Also, in part 3, i don't understand why there is a constant function. The fuction should be a product of sin function and exponential function. How come there is a constant function?
Thank you for your help
 
Physics news on Phys.org
The authors are asking you to expand a constant function in a Fourier sine series. It's a constant in the sense that it does not depend on the position for a fixed time t=0. For subsequent times, it won't be a constant anymore.
 
dauto said:
The authors are asking you to expand a constant function in a Fourier sine series. It's a constant in the sense that it does not depend on the position for a fixed time t=0. For subsequent times, it won't be a constant anymore.

what is a Fourier series:confused:
 
VHAHAHA said:
what is a Fourier series:confused:

A sum of sines and/or cosines whose frequencies are integer multiples of a fundamental frequency (if we're talking about a function of time) or whose wavenumbers are integer multiples of a fundamental. See for example

http://en.wikipedia.org/wiki/Fourier_series
 
what is the relation between these two ?:(
 
See, Simply put , stationary states of 1-d box are those in which the probability density (and also expectation values) are independent of time. do this : construct the time dependent wavefunction by stacking exponential time dependence alongside the sines. check out the probability density. in this case multiplication of complex exponentail (in time) and its conjugate causes time dependence part to fizzle out, leaving only sine squared. ditto with avg. value of any operator.
QED
 
VHAHAHA said:
what is the relation between these two ?:(

I'm guessing that by "these two" you mean Fourier series and the infinite square well.

The stationary states of the infinite square well (0 < x < a) are
$$\Psi_n(x,t) = \sqrt{\frac{2}{a}}\sin \left( \frac{n \pi x}{a} \right) e^{-i E_n t / \hbar}$$

Any state of the infinite square well can be written as a linear combination of these:
$$\Psi(x,t) = \displaystyle\sum_{n=1}^\infty {c_n \Psi_n(x,t)}$$

At t = 0:
$$\Psi(x,0) = \displaystyle\sum_{n=1}^\infty {c_n \sqrt{\frac{2}{a}}\sin \left( \frac{n \pi x}{a} \right)}$$

which is basically a Fourier series. For any function defined in the range 0 < x < a, you can find the coefficients ##c_n## which make this true. Put these coefficients into the linear combination for ##\Psi(x,t)## and it tells you how the wave function evolves in time from ##\Psi(x,0)##. Any decent QM textbook has the details.
 

Similar threads

  • · Replies 7 ·
Replies
7
Views
2K
  • · Replies 9 ·
Replies
9
Views
2K
  • · Replies 31 ·
2
Replies
31
Views
4K
  • · Replies 5 ·
Replies
5
Views
2K
  • · Replies 5 ·
Replies
5
Views
1K
  • · Replies 12 ·
Replies
12
Views
4K
  • · Replies 1 ·
Replies
1
Views
2K
  • · Replies 1 ·
Replies
1
Views
2K
  • · Replies 2 ·
Replies
2
Views
2K
  • · Replies 3 ·
Replies
3
Views
2K