Confused about a 3 mass coupled oscialltion

Click For Summary

Homework Help Overview

The discussion revolves around a problem involving coupled oscillations of three masses, focusing on the derivation and application of equations related to their natural frequencies. Participants are analyzing equations provided in a textbook and attempting to understand discrepancies in their calculations of the largest and smallest natural frequencies.

Discussion Character

  • Exploratory, Assumption checking, Problem interpretation

Approaches and Questions Raised

  • Participants are comparing their derived equations with those from the textbook, noting differences in terms such as 2 + 1/√2 versus 2 + √2. There are questions about the derivation of the equations and whether they are being interpreted correctly. Some participants are attempting to find natural frequencies by manipulating the equations, while others are seeking clarification on the steps involved.

Discussion Status

The discussion is ongoing, with participants sharing their interpretations and calculations. Some have provided insights into their reasoning, while others are asking for further clarification and derivations. There is no explicit consensus on the correct approach or interpretation of the equations at this stage.

Contextual Notes

Participants are working from a textbook that discusses three masses moving perpendicularly, and there seems to be confusion regarding the specific equations and terms used. The problem context includes constraints related to homework rules and the need for detailed derivations.

JoeyBob
Messages
256
Reaction score
29
Homework Statement
See attached
Relevant Equations
Shown in body
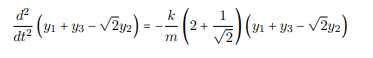
So the textbook uses 3 equations for these,

d 2/dt2 (y1 + y3 − √ 2y2) = − k / m (2 + 1/ √ 2 ) (y1 + y3 − √ 2y2)

d 2 /dt2 (y1 + y3 + √ 2y2) = − k / m (2 − 1/ √ 2 ) (y1 + y3 + √ 2y2)

d 2/ dt2 (y1 − y3) = − 2k / m (y1 − y3)

Now the question is asking for the largest natural frequency. Now I must be applying the above equations the wrong way, but I chose number 1 of the above where = − k m (2 + 1 / √ 2 ) (y1 + y3 − √ 2y2).

What I did to find w was make it equal the part in front of the y1, y2 ect like this

w=sqrt(k/(2m)+k/(2m sqrt(2))). Now this gave me the wrong answer of 2.07 when the answer is suppose to be 2.32, quite a bit higher. The next question also asks the same thing but for the smallest frequency and if I use equation 3 of the above in the same way to get w, I will also get the wrong answer.
 

Attachments

  • Question.PNG
    Question.PNG
    36.8 KB · Views: 158
Physics news on Phys.org
I'm getting terms like 2+√2 where you have 2+1/√2. That seems to explain the difference.
 
  • Like
Likes   Reactions: BvU
haruspex said:
I'm getting terms like 2+√2 where you have 2+1/√2. That seems to explain the difference.
Well that gives me the right answer but I am not sure why. See attached for the equation from text I was using here (easier to read then me typing it out).

It seems to show 2+1/√2 and not 2+√2
 

Attachments

  • Equation.PNG
    Equation.PNG
    2.8 KB · Views: 143
JoeyBob said:
See attached for the equation from text I was using
I don't understand. Did you derive this equation (if so, please post your working) or are you getting it from a provided solution?
 
haruspex said:
I don't understand. Did you derive this equation (if so, please post your working) or are you getting it from a provided solution?

Its directly from the textbook when its talking about 3 masses moving perpendicularly. Using what you showed I can also find the min natural frequency by subtracting the second term instead of adding it.

But I don't understand because the textbook seems to use 1/√2 as I showed. But I could just be interpreting the equation incorrectly.
 
JoeyBob said:
Its directly from the textbook when its talking about 3 masses moving perpendicularly. Using what you showed I can also find the min natural frequency by subtracting the second term instead of adding it.

But I don't understand because the textbook seems to use 1/√2 as I showed. But I could just be interpreting the equation incorrectly.
I worked directly from the question as in the attachment. You could do the same.
 
haruspex said:
I worked directly from the question as in the attachment. You could do the same.
But shouldn't the equation for 3 mass systems derived from the text also apply?
 
JoeyBob said:
But shouldn't the equation for 3 mass systems derived from the text also apply?
What text are you referring to? I used the equations in the attachment in post #1 and these led to factors like (2+√2) and (2-√2), not (2+1/√2) and (2-1/√2).
 
haruspex said:
What text are you referring to? I used the equations in the attachment in post #1 and these led to factors like (2+√2) and (2-√2), not (2+1/√2) and (2-1/√2).

So to derive it, xb is the one that has the greatest natural frequency. I then put a sqrt(2) in front of all the x2s and add up the equations?
 
  • #10
JoeyBob said:
So to derive it, xb is the one that has the greatest natural frequency. I then put a sqrt(2) in front of all the x2s and add up the equations?
Please post your working.
 
  • #11
haruspex said:
Please post your working.

So -kx1-k(x1-x2) = -2kx1+kx2 and using xb you get -kx1+sqrt(2)kx2. Then you use the w equation to and w/2pi to get frequency
 
  • #12
JoeyBob said:
So -kx1-k(x1-x2) = -2kx1+kx2 and using xb you get -kx1+sqrt(2)kx2. Then you use the w equation to and w/2pi to get frequency
Post your working. Every step.
It should start with ##m\ddot x_b=## and finish with ##=constant \times x_b##.
 

Similar threads

  • · Replies 25 ·
Replies
25
Views
2K
Replies
4
Views
3K
Replies
2
Views
950
  • · Replies 3 ·
Replies
3
Views
4K
  • · Replies 6 ·
Replies
6
Views
2K
Replies
17
Views
3K
Replies
1
Views
1K
  • · Replies 2 ·
Replies
2
Views
3K
Replies
10
Views
3K
  • · Replies 3 ·
Replies
3
Views
19K