Conservation of Momentum Question

Click For Summary
SUMMARY

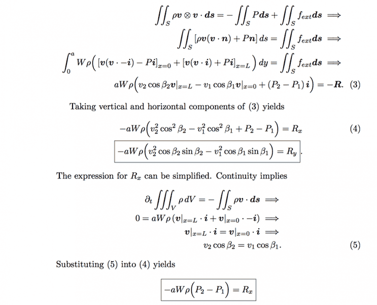
This discussion focuses on the application of the conservation of momentum principle to analyze fluid flow through a 2D infinite row of fixed shapes. The participants derive the necessary reactions, ##R_x## and ##R_y##, to maintain the position of a vane, using parameters such as density (##\rho##), velocities (##v_1##, ##v_2##), and pressures (##p_1##, ##p_2##). Key equations include the force balance at both stations and the relationship between flow rates, leading to the conclusion that ##R_x = p_1aW - p_2aW##. The discussion emphasizes the importance of correctly applying the conservation of mass and momentum in fluid dynamics.

PREREQUISITES
  • Understanding of fluid dynamics principles, specifically conservation of momentum.
  • Familiarity with the concepts of pressure and velocity in fluid flow.
  • Knowledge of 2D flow analysis and force balance equations.
  • Ability to interpret and manipulate mathematical equations related to fluid mechanics.
NEXT STEPS
  • Study the derivation of Bernoulli's equation in fluid dynamics.
  • Learn about incompressible flow and its implications on velocity and pressure relationships.
  • Explore the concept of force balance in fluid systems, focusing on both horizontal and vertical components.
  • Investigate the application of conservation laws in various fluid flow scenarios.
USEFUL FOR

Students and professionals in fluid mechanics, mechanical engineers, and anyone involved in analyzing fluid flow systems and their dynamics.

  • #31
haruspex said:
In the x direction, we know that the volumetric rate of flow into the blade system from the left must equal the flow out on the right. In the y direction there is no requirement that volumetric rate of flow up the left side of the blades must equal that on the right side.
Ok, I think I have it! I wrote up a proof, starting with the momentum equation, assuming incompressible, steady, non-viscous flow and neglecting body forces. I'll attach it since typing it took some time. Let me know what you think, as I have one question with what I wrote.
 

Attachments

  • Screen Shot 2016-09-10 at 2.03.40 AM.png
    Screen Shot 2016-09-10 at 2.03.40 AM.png
    94.7 KB · Views: 450
Physics news on Phys.org
  • #32
joshmccraney said:
Ok, I think I have it! I wrote up a proof, starting with the momentum equation, assuming incompressible, steady, non-viscous flow and neglecting body forces. I'll attach it since typing it took some time. Let me know what you think, as I have one question with what I wrote.
Yes, that all looks correct to me.
 
  • #33
haruspex said:
Yes, that all looks correct to me.
Awesome, thanks so much for your help! I really appreciate it!
 
  • #34
I get the opposite signs than you have obtained for the components of the external force necessary to hold the vane in place.
 
  • #35
Chestermiller said:
I get the opposite signs than you have obtained for the components of the external force necessary to hold the vane in place.
Good point. I read the diagram as indicating Rx and Ry are the forces the flow exerts on the vanes, and did not notice that wording.
 
  • #36
Shoot, thanks! I'll fix this!
 

Similar threads

  • · Replies 17 ·
Replies
17
Views
921
  • · Replies 18 ·
Replies
18
Views
2K
Replies
15
Views
2K
  • · Replies 12 ·
Replies
12
Views
2K
Replies
7
Views
3K
  • · Replies 5 ·
Replies
5
Views
2K
  • · Replies 9 ·
Replies
9
Views
1K
  • · Replies 9 ·
Replies
9
Views
3K
  • · Replies 3 ·
Replies
3
Views
2K
  • · Replies 8 ·
Replies
8
Views
2K