Contour integral using residue theorem

Click For Summary

Homework Help Overview

The discussion revolves around evaluating a contour integral using the residue theorem in complex analysis. The original poster attempts to find the solution by identifying poles within the unit circle and calculating their residues.

Discussion Character

  • Exploratory, Assumption checking, Mathematical reasoning

Approaches and Questions Raised

  • Participants discuss the identification of poles within the unit circle and the calculation of residues. Questions arise regarding the definition and order of poles, particularly concerning the residue at zero and the total count of poles identified.

Discussion Status

The discussion is active, with participants providing guidance on the nature of poles and residues. There is an acknowledgment of potential errors in the original poster's calculations, particularly regarding higher-order poles.

Contextual Notes

Participants note the complexity of substitutions in contour integrals and the importance of verifying calculations when discrepancies arise.

dykuma
Messages
55
Reaction score
6

Homework Statement


Find the solution of the following integral
upload_2016-12-4_1-19-56.png


Homework Equations


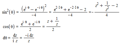
upload_2016-12-4_1-22-35.png


The Attempt at a Solution


I applied the above relations getting that
upload_2016-12-4_1-23-28.png

Then I was able to factor the function inside the integral getting that
upload_2016-12-4_1-25-22.png

From here I should be able to get a solution by simply finding the poles of the function that are inside the bounds of this integral (in this case the unit circle), using that poles to find a residue, and then summing the residue's and multiplying them by 2πi.

In this case, I see four poles that are "inside" the unit circle: z= -1, z = -1/3 , z = 0, and z = 1. z= - 3 is outside of the unit circle.

However, when I do this, I get a solution of -8π/9, when I know that the solution should be 2π/9. In fact, the residue of 0 comes back as undefined, and -1 , 1 as zero.

Clearly I have done something wrong, though I am not sure what exactly.
 
  • Like
Likes   Reactions: Delta2
Physics news on Phys.org
I am rusty in complex analysis and contour integration but what do you mean when you say that the residue of 0 comes back undefined? Maybe you do a mistake on calculating the residue of 0? Can you show us your work on how you calculate all the residues?
 
Are you sure there are 4 poles inside the unit circle? What's a pole? Also when you make the substitution ## z=e^{it} ## the integral becomes a closed contour integral (with a circle through it). The substitutions in these are very messy and when you suspect something is wrong, first thing you should do is double, triple check those substitutions.
 
z= -1, z = 1
are not poles they have residue zero
z=0 is a pole of order 2
$$\operatorname{Res}=\lim_{z\rightarrow0}\dfrac{\operatorname{d}}{\operatorname{dx}}z^2\operatorname{f}(z)$$
 
  • Like
Likes   Reactions: dykuma
Thanks everyone! I forgot about that sneaky aspect of poles being at a higher order.
 

Similar threads

  • · Replies 3 ·
Replies
3
Views
2K
  • · Replies 5 ·
Replies
5
Views
2K
  • · Replies 3 ·
Replies
3
Views
2K
  • · Replies 2 ·
Replies
2
Views
2K
Replies
4
Views
2K
Replies
6
Views
2K
  • · Replies 1 ·
Replies
1
Views
2K
Replies
1
Views
2K
  • · Replies 14 ·
Replies
14
Views
4K
Replies
1
Views
2K