Contour Integration: Validate Relation w/ Appropriate Choice

  • Thread starter Thread starter Wiseman101
  • Start date Start date
  • Tags Tags
    Integration
Click For Summary

Homework Help Overview

The discussion revolves around validating a relationship through contour integration, focusing on the appropriate choice of contour and the identification of singularities within the integrand.

Discussion Character

  • Exploratory, Assumption checking, Problem interpretation

Approaches and Questions Raised

  • Participants discuss the identification of singularities and the types of contours suitable for integration. Questions arise regarding the handling of specific terms in the integrand and the implications of different choices of contour.

Discussion Status

Participants are actively engaging with the problem, offering guidance on identifying poles and discussing the implications of different approaches. There is a collaborative effort to clarify the steps involved in the contour integration process.

Contextual Notes

Some participants note the importance of correctly identifying singularities and the constraints of the contour chosen for integration. There is an acknowledgment of differing interpretations of the problem and the need for careful consideration of the integrand's structure.

Wiseman101
Messages
8
Reaction score
0

Homework Statement



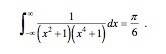
By an appropriate choice of contour, validate the following relationship by evaluation,
attachment.php?attachmentid=25455&stc=1&d=1272478598.jpg



Homework Equations



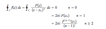
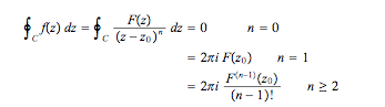
attachment.php?attachmentid=25456&stc=1&d=1272479130.png


The Attempt at a Solution


Any help on this one would be much appreciated.
 

Attachments

  • contour.jpg
    contour.jpg
    1.6 KB · Views: 445
  • contour2.png
    contour2.png
    2.6 KB · Views: 687
Last edited:
Physics news on Phys.org
I'm afraid copy pasting the relevant equations don't constitute as a attempt at a solution. What type of contour are you thinking of and do you know how to find the poles?

Edit: I believe the answer should be [itex]\pi/2[/itex]
 
Last edited:
I'd start by finding all the singularities of the integrand...where are they? What type of singularities are they?
 
Put in z in place of the x's. The singularities are when the bottom line is zero, so there's a singularity at z = i and z = -i. The contour I am thinking would be a semi circle on the positive side of the axis so -i isn't needed so z = i is one simple pole. I don't know how to handle the z^4 though.
 
That is correct so far. You handle the z^4 term in the same manner, [itex](z^2+1)(z^4+1)=0[/itex] gives you [itex](z^2+1)=0[/itex] and [itex](z^4+1)=0[/itex]. Solve for z.
 
Ok, so i split ([tex]z^{2}[/tex] + 1) into (z+i)(z-i) to get the first pole. So am i right in spliting ([tex]z^{4}[/tex] + 1) into ([tex]z^{2}[/tex] + i)([tex]z^{2}[/tex] - i)? Do i then split each of those again?
 
Don't need to split them further, just solve for z now.
 
Is z = [tex]\sqrt{i}[/tex] the other simple pole? I tried to do it out using that but i didnt get out [tex]\frac{\pi}{6}[/tex] as the final answer
 
You should have a total of three poles within the contour, [itex]\sqrt{i}[/itex] is one of them.

As for not getting pi/6, read post #2.
 
  • #10
Got it! Thanks a lot for all your help.
 

Similar threads

  • · Replies 7 ·
Replies
7
Views
2K
  • · Replies 1 ·
Replies
1
Views
2K
  • · Replies 3 ·
Replies
3
Views
3K
  • · Replies 4 ·
Replies
4
Views
3K
  • · Replies 3 ·
Replies
3
Views
3K
  • · Replies 16 ·
Replies
16
Views
2K
  • · Replies 2 ·
Replies
2
Views
1K
  • · Replies 8 ·
Replies
8
Views
2K
Replies
32
Views
4K
  • · Replies 4 ·
Replies
4
Views
2K