Convergence and divergence of a series

Click For Summary

Homework Help Overview

The discussion revolves around determining the convergence or divergence of a series, with participants exploring various mathematical approaches and reasoning related to the problem.

Discussion Character

  • Exploratory, Assumption checking, Mathematical reasoning

Approaches and Questions Raised

  • Participants discuss using the ratio test and L'Hôpital's rule to analyze the limit of a complex fraction. There are suggestions to simplify the expression using algebraic techniques and to reconsider the applicability of the ratio test. Some participants propose breaking the series into two sums to evaluate convergence properties.

Discussion Status

The discussion is ongoing, with various approaches being considered. Some participants have offered guidance on simplification techniques and the implications of convergence in the context of summing series. There is a recognition of the need to clarify assumptions and definitions related to convergence.

Contextual Notes

Participants are navigating the complexities of the series and the limitations of certain tests, indicating that there may be missing information or specific conditions that need to be addressed for a complete analysis.

smart_worker
Messages
131
Reaction score
1
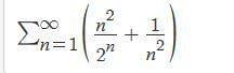
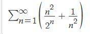
B]1. Homework Statement [/B]
Find whether the series is convergent or divergent

Homework Equations



lim.JPG


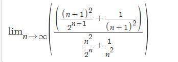
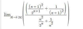
The Attempt at a Solution



By ratio test I have,
limit.JPG


I would apply L'Hôpital's rule to find the value of limit but before that how do i simplify the expression? It has fractional part both in the numerator as well as in the denominator.
 
Last edited:
Physics news on Phys.org
smart_worker said:
B]1. Homework Statement [/B]
Find whether the series is convergent or divergent

Homework Equations



View attachment 74254

The Attempt at a Solution



By ratio test I have,
View attachment 74255

I would apply L'Hôpital's rule to find the value of limit but before that how do i simplify the expression? It has fractional part both in the numerator as well as in the denominator.

Just use elementary high-school algebra. Alternatively, look more carefully at the problem before even starting. Maybe the ratio test won't work; there are times when it doesn't.
 
Consider breaking it into two sums...the sum of convergent series is convergent, however if one diverges, the sum of the two diverges (generally).
 
If you want to simplify the large fraction in
[tex] \lim_{n\to \infty} \left(\dfrac{\left(\dfrac{(n+1)^2}{2^{n+1}} + \dfrac{1}{(n+1)^2}\right)}{\dfrac{n^2}{2^n} + \dfrac 1 {n^2}}\right)[/tex]

treat it the way you would a complex fraction. As has been stated above, however, I'm not sure this approach will generate a positive result.

Think about the idea that if both [itex]\sum_{i=1}^\infty a_n[/itex] and [itex]\sum_{i=1}^\infty b_n[/itex] are absolutely convergent then
[itex]\sum_{i=1}^\infty \left(a_n + b_n \right)[/itex] is absolutely convergent.
 
RUber said:
Consider breaking it into two sums...the sum of convergent series is convergent, however if one diverges, the sum of the two diverges (generally).
Not sure what you mean by "generally" other than perhaps it means "sometimes" because you know it's false in general.
 
  • Like
Likes   Reactions: RUber

Similar threads

  • · Replies 4 ·
Replies
4
Views
1K
  • · Replies 2 ·
Replies
2
Views
2K
  • · Replies 3 ·
Replies
3
Views
2K
  • · Replies 5 ·
Replies
5
Views
2K
  • · Replies 4 ·
Replies
4
Views
2K
  • · Replies 8 ·
Replies
8
Views
2K
  • · Replies 4 ·
Replies
4
Views
2K
  • · Replies 4 ·
Replies
4
Views
2K
  • · Replies 11 ·
Replies
11
Views
3K
  • · Replies 6 ·
Replies
6
Views
2K