Convergence and Limit of Sequence | Homework Equations Explained

  • Thread starter Thread starter 2h2o
  • Start date Start date
  • Tags Tags
    Limit Sequence
Click For Summary
SUMMARY

The discussion focuses on the convergence of the sequence defined by a_{n}=\sqrt[n]{4^{n}n}. The correct limit of the sequence as n approaches infinity is established as 4, which was initially overlooked due to the omission of the coefficient 4 during logarithmic manipulation. The key step involves recognizing that the logarithm of the constant must be included in the limit calculation, leading to the conclusion that a_n converges to 4.

PREREQUISITES
  • Understanding of limits in calculus
  • Familiarity with logarithmic properties
  • Knowledge of sequences and convergence
  • Basic proficiency in TeX for mathematical notation
NEXT STEPS
  • Study the properties of logarithms in limit calculations
  • Learn about convergence tests for sequences
  • Explore the concept of sequences defined by roots, such as n-th roots
  • Practice solving similar limit problems using TeX for clarity
USEFUL FOR

Students studying calculus, particularly those focusing on sequences and limits, as well as educators seeking to clarify concepts of convergence in mathematical analysis.

2h2o
Messages
51
Reaction score
0

Homework Statement



Show convergence or divergence, find the limit of the sequence.

Homework Equations



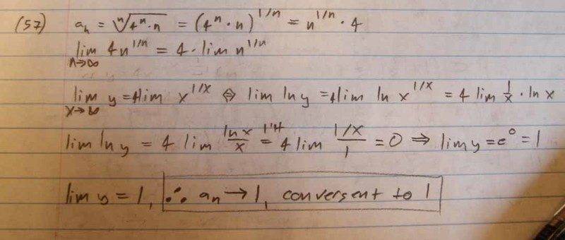
[tex] <br /> a_{n}=\sqrt[n]{4^{n}n}<br /> [/tex]

The Attempt at a Solution



See the attached picture. Sorry, it was taking way longer to figure out how to input the TeX than it was to just snap and crop a picture of my work.

My question is: where did I lose the coefficient 4? The correct answer is supposed to be convergent, a_n --> infinity = 4
 

Attachments

  • 11.1.57.jpg
    11.1.57.jpg
    34.9 KB · Views: 381
Physics news on Phys.org
In the step
[tex]\lim_{x\rightarrow\infty} y = 4\lim_{x\rightarrow\infty}x^{\frac{1}{x}} \Leftrightarrow \lim_{x\rightarrow\infty}\ln y = 4\lim_{x\rightarrow\infty}\ln x^{\frac{1}{x}}[/tex]
you forgot to take the logarithm of the 4 on the right hand side.
 
True, but how does that affect the outcome? The limit(x-->infinity) of 1/x = 0 thus negating anything else that multiplies against it, which still leads me back to e^0 = 1.

NvM, I see that I need to put the 4 back inside the limit then with log properties it becomes ln4+ln(1/x)... e^ln4 = 4... therefore a_n-->4. It's not always obvious to me when I should factor constants out or just leave them be.

Thanks for pointing that out, NeoDevin!
 

Similar threads

  • · Replies 8 ·
Replies
8
Views
2K
  • · Replies 7 ·
Replies
7
Views
2K
  • · Replies 4 ·
Replies
4
Views
2K
  • · Replies 3 ·
Replies
3
Views
2K
  • · Replies 1 ·
Replies
1
Views
1K
  • · Replies 2 ·
Replies
2
Views
2K
  • · Replies 4 ·
Replies
4
Views
2K
Replies
6
Views
3K
  • · Replies 12 ·
Replies
12
Views
2K
Replies
3
Views
2K