Converting a Lagrangian to a Hamiltonian

Click For Summary

Homework Help Overview

The discussion revolves around converting a Lagrangian to a Hamiltonian for a system described by a specific Lagrangian function involving angular coordinates and their velocities, along with a potential term. Participants are exploring the implications of conserved quantities on the Hamiltonian formulation.

Discussion Character

  • Conceptual clarification, Assumption checking

Approaches and Questions Raised

  • The original poster attempts to understand the relevance of conserved quantities, such as angular momentum, in the context of formulating the Hamiltonian. Some participants question whether these conserved quantities impact the transformation process. Others suggest focusing on expressing the Hamiltonian in terms of momenta rather than velocities.

Discussion Status

The discussion is active, with participants providing hints and clarifications regarding the formulation of the Hamiltonian. There is a recognition that expressing the Hamiltonian in terms of momenta is essential, and some guidance has been offered on the necessary form of the Hamiltonian.

Contextual Notes

Participants are navigating the definitions and relationships between Lagrangian and Hamiltonian mechanics, particularly in the context of conserved quantities and their implications for the transformation process.

MyoPhilosopher
Messages
41
Reaction score
4
Homework Statement
Convert to Hamiltonian
Relevant Equations
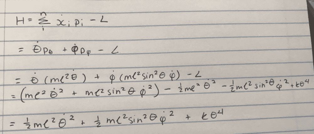
$$L(\theta,\dot{\theta},\phi,\dot{\phi}) = \frac12ml^2((\dot{\theta})^2 + (sin(\theta)^2)\dot{\phi}^2) + k\theta^4$$
Given the following
$$L(\theta,\dot{\theta},\phi,\dot{\phi}) = \frac12ml^2((\dot{\theta})^2 + (sin(\theta)^2)\dot{\phi}^2) + k\theta^4$$

This is my attempt:
I am not understanding if the conserved quantities (like angular momentum about the z-axis) impacts my formulation of the Hamiltonian or is it irrelevant for the transformation. (EDIT: my last term below should be negative)
1587902315812.png
 
Last edited:
Physics news on Phys.org
Irrelevant
 
  • Like
Likes   Reactions: MyoPhilosopher
As @wrobel says, the fact that ##p_{\phi}## is conserved does not affect the formulation of ##H##. However, you should express ##H## in terms of the momenta ##p_{\theta}## and ##p_{\phi}## instead of the "velocities" ##\dot \theta## and ##\dot\phi##.
 
  • Like
  • Informative
Likes   Reactions: JD_PM, etotheipi and MyoPhilosopher
Hint: By definition the Hamiltonian , in general, has to be a function of momentum ##p## and general coordinate ##q##.

In your problem you need to get ##H(p_{\phi},p_{\theta}, \phi, \theta)##
 

Similar threads

  • · Replies 2 ·
Replies
2
Views
2K
Replies
6
Views
4K
Replies
6
Views
2K
  • · Replies 4 ·
Replies
4
Views
3K
Replies
1
Views
3K
  • · Replies 6 ·
Replies
6
Views
2K
  • · Replies 1 ·
Replies
1
Views
2K
  • · Replies 21 ·
Replies
21
Views
5K
Replies
9
Views
3K
  • · Replies 4 ·
Replies
4
Views
2K