Derivative of smooth paths in Lie groups

Click For Summary

Discussion Overview

The discussion revolves around the definition of the derivative of smooth paths in Lie groups, specifically focusing on the mathematical formulation and interpretation of derivatives in the context of Lie groups and their representations. Participants explore the implications of different charts and the relationship between matrix representations and tangent vectors.

Discussion Character

  • Technical explanation
  • Conceptual clarification
  • Debate/contested
  • Mathematical reasoning

Main Points Raised

  • One participant questions the standard definition of the derivative of paths in Lie groups, expressing discomfort with the notion of "infinitesimal change" in matrix terms, given that matrix multiplication is the primary operation in Lie groups.
  • Another participant suggests a formula involving charts and derivatives, indicating that the derivative can be expressed in terms of local coordinates.
  • A participant presents a specific case using the group SO(2) and expresses confusion over the interpretation of the resulting derivative matrix.
  • Discussion arises about the need for a chart that maps elements of SO(2) to a Euclidean space, with one participant providing a specific mapping and calculations to illustrate their point.
  • There is a clarification regarding the nature of charts and the fact that they typically cover only open subsets of Lie groups rather than the entire group.
  • One participant notes that both the local chart approach and the matrix approach yield correct results for calculating the tangent space of SO(2), highlighting the differences in methodology.
  • Another participant discusses the implications of embedding SO(2) in a larger space, suggesting that this affects the orientation of tangent spaces and the interpretation of derivatives.

Areas of Agreement / Disagreement

Participants express differing views on the interpretation of derivatives in Lie groups, with some agreeing on the validity of multiple approaches while others remain uncertain about the implications of these methods. The discussion does not reach a consensus on the best approach or interpretation.

Contextual Notes

Participants note limitations regarding the definitions of charts and the scope of their applicability, as well as the assumptions made in different approaches to calculating derivatives. The discussion reflects the complexity of the topic and the nuances involved in interpreting results.

Who May Find This Useful

Readers interested in differential geometry, Lie groups, and the mathematical foundations of smooth manifolds may find this discussion relevant and insightful.

mnb96
Messages
711
Reaction score
5
Hello,

Given a Lie group G and a smooth path γ:[-ε,ε]→G centered at g∈G (i.e., γ(0)=g), and assuming I have a chart Φ:G→U⊂ℝn, how do I define the derivative [itex]\frac{d\gamma}{dt}\mid_{t=0}[/itex] ?

I already know that many books define the derivative of matrix Lie groups in terms of an "infinitesimal change" between matrices, but I still have troubles accepting that definition because such an infinitesimal change involves the calculation of a difference between matrices, while it is assumed that the only binary operation we can perform between elements of a matrix Lie group is matrix multiplication.

The answer I am looking for should be valid for general Lie groups and it should be general enough to contain the definition of derivative of matrix Lie groups as a special case.



 
Physics news on Phys.org
Have you read the other extensive threads in this section?

##Φ^{-1}(\frac{d}{dt}Φ(γ))|_{Φ(g)}##
 
fresh_42 said:
Have you read the other extensive threads in this section?

##Φ^{-1}(\frac{d}{dt}Φ(γ))|_{Φ(g)}##

No, I haven't. Can you please provide the link of the thread where my question is answered?

By the way, in one of my attempts to find an answer by myself I actually obtained what I believe to be the same formula that you wrote. However, when I applied it to the specific case of G=SO(2) to calculate the derivative at the identity, I obtain something like this: [tex] \begin{bmatrix}<br /> \cos\theta'(0) & -\sin\theta'(0)\\ <br /> \sin\theta'(0) & \cos\theta'(0)\\<br /> \end{bmatrix}[/tex]

where θ(t) is a function such that θ(0)=0.
This looks wrong to me, or perhaps I don't know how to interpret it.
 
Your example is still an element of the group ##SO(2)## whereas the derivative you look for is a tangent vector living in ##so(2)##, i.e. a matrix with trace zero. You need a chart on ##SO(2)## that maps it in an Euclidean space, e.g.
## Φ: M_{\theta} = \begin{bmatrix}
\cos\theta & -\sin\theta\\
\sin\theta & \cos\theta\\
\end{bmatrix} → U_{\theta} = \begin{bmatrix} 0 & -\theta\\ \theta & 0\\ \end{bmatrix} ##.

Let ##γ(t) = M_{tθ} ## for ##-ε≤t≤ε## and ##γ(0) = M_0 = 1.## Then
$$ Φ^{-1}(\frac{d}{dt}Φ(γ)|_{Φ(1)}) = Φ^{-1}(\frac{d}{dt}U_{tθ})|_{t=0} )= Φ^{-1}(\frac{d}{dt}\begin{bmatrix} 0 & -tθ \\ tθ & 0\\ \end{bmatrix}|_{t=0}) = Φ^{-1}(\begin{bmatrix} 0 & -θ \\ θ & 0\\ \end{bmatrix}|_{t=0}) = Φ^{-1}(\begin{bmatrix} 0 & -θ \\ θ & 0\\ \end{bmatrix}) = \begin{bmatrix} \cos θ & -\sin θ\\ \sin θ & \cos θ\\ \end{bmatrix} = M_{θ}.$$
For a path ##γ(t) = M_{t^2θ} ## through ##1## we get $$ Φ^{-1}(\frac{d}{dt}Φ(γ)|_{Φ(1)}) = Φ^{-1}(\begin{bmatrix} 0 & -2tθ \\ 2tθ & 0\\ \end{bmatrix}|_{t=0}) = Φ^{-1}(\begin{bmatrix} 0 & 0 \\ 0 & 0\\ \end{bmatrix}) = Φ^{-1}(0) = M_0 = 1.$$
(Correct me, if I overlooked something.)

https://www.physicsforums.com/threa...angent-subspaces-mcinnerney-example-3.858102/
https://www.physicsforums.com/threa...arametrized-sets-mcinerney-defn-3-3-5.858147/
https://www.physicsforums.com/threads/manifolds-charts-on-real-projective-spaces.858641/
https://www.physicsforums.com/threads/directional-derivatives-and-derivations-tangent-spaces.859041/
https://www.physicsforums.com/threa...-computations-in-coordinates-lee-ch-3.859626/
https://www.physicsforums.com/threads/computations-with-tangent-vectors-and-pushforwards-lee.859614/
 
Hi! Thanks for your help.
I went through the steps of your calculations and it seems to me that our results agree. There is just one discrepancy between our calculations: I defined the chart [itex]\Phi: M_\theta \rightarrow \mathbb{R}[/itex] in the following way: [tex] \begin{matrix}<br /> \Phi\left(\begin{bmatrix}<br /> \cos\theta & -\sin\theta\\<br /> \sin\theta & \cos\theta<br /> \end{bmatrix}\right) = \theta<br /> \end{matrix}[/tex]
In fact, I don't understand why you mapped the domain of the chart onto 2x2 antisymmetric matrices, but I would guess the results should be anyway independent of the choice of chart, am I right?

In order to obtain the resulting formula that I reported in my previous post it is sufficient to consider an arbitrary path [itex]\gamma(t)=M_{f(t)}[/itex]. Note that in your two examples you have respectively set [itex]f(t)=t\theta[/itex] and [itex]f(t)=t^2\theta[/itex]. In general, you should obtain: [tex] \Phi^{-1} \left( \frac{d}{dt}\Phi(\gamma)\mid_{t=0}\right) = \begin{bmatrix}<br /> \cos f'(0) & -\sin f'(0)\\<br /> \sin f'(0) & \cos f'(0)<br /> \end{bmatrix}[/tex]

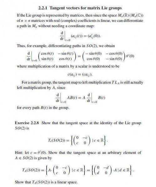
The problem is that our results seem to agree with each other but they seem to disagree with what I see in the book I am reading (see attachment). The author seems to differentiate paths in SO(2) in a way that looks incorrect to me (see 2nd formula). (S)he also seems to arrive at the conclusion that the tangent space at the identity is given by the space of 2x2 antisymmetric matrices, which does not seem to follow from our result.
Could you please clarify these points?
tangspace.jpg
 
Last edited:
Just a small point, mnb96: You are not generally likely to have a chart (a homeomorphism) from the *entire* Lie group G to an open set U of Euclidean space Rn.

Rather, the typical case would be that the domain of the chart would be only some open subset V of G.

* * *

Oh heck, let me add one thing. I think I see your point: Although you can both add and multiply matrices, in a Lie group there is only one operation, so what's up with that?

I would say that, since a Lie group is a manifold — hence locally diffeomorphic to an open set of Euclidean space — this means that once you are given a chart, you can use local coordinates to differentiate a path. This is true of any manifold, of course, not just a Lie group, making use of the vector space structure on Euclidean space.

The beauty of this is that no matter which chart you use, you get the same derivative (tangent vector) to a path in the Lie group — or for that matter, any manifold.

There is generally not much connection between the Lie group operation and the vector space structure of Euclidean space (via a chart) — only that the Lie group operations of multiplication and inverse must be continuous. (It follows through an extremely deep theorem of Andrew Gleason, Deane Montgomery et al. that these operations will in fact be infinitely differentiable, even real analytic.)
 
Last edited:
Hi zinq!
thanks for the clarifications.

Regarding the issue I raised in my last post, I think I almost figured out what was going on.
Apparently both methods of calculating the tangent space of SO(2) are correct (the approach fresh_42 documented which used local charts, and the one explained in that book that I mentioned, that used only matrices).

From my understanding, the difference is just that in fresh_42's approach, one calculates the tangent space of SO(2) without making any reference to a parent space in which SO(2) is "contained". Instead, the "matrix approach" seems to tacitly assume that SO(2) is embedded in GL(2,ℝ). In such a scenario we can trivially put a global chart on the entire space defined in the following way:
[tex]\Phi: GL(2,\mathbb{R}) \rightarrow \mathbb{R}^4[/tex]
[tex] \Phi\left ( \begin{bmatrix}<br /> a & b\\<br /> c & d<br /> \end{bmatrix} \right ) = \begin{pmatrix}<br /> a\\<br /> b\\<br /> c\\<br /> d<br /> \end{pmatrix}[/tex]

In this way, the formula for calculating derivatives on Lie groups reduces to the ordinary formula for derivative of matrices.

One thing worth noticing is that, in both computations the tangent spaces at any point of SO(2) are isomorphic to the vector space ℝ, but when we "embed" SO(2) in its parent space GL(2,ℝ) we also know how the tangent spaces are "oriented" with respect to each other. Unless, I am wrong, this piece of information is completely lost if we treat SO(2) as an abstract manifold without referring to its parent space. I am not sure I fully understand this.
 
SO(2) is a sub Lie group of many Lie groups, including all compact ones (of positive dimension), for example SO(3), SU(2), and all the rest. This means that it doesn't have a well-defined "parent space".
 
zinq said:
SO(2) is a sub Lie group of many Lie groups, including all compact ones (of positive dimension), for example SO(3), SU(2), and all the rest. This means that it doesn't have a well-defined "parent space".
Yes. You are absolutely right. What I meant is that in order to define the tangent space of SO(2) by means of matrix derivatives one must probably assume that the Lie group in question is a subgroup of some other matrix group, like GL(2,ℝ), am I right?
 
  • #10
I don't think that's necessary. SO(2) may be thought of as the unit circle group {e} for 0 ≤ θ < 2π in the complex plane ℂ under complex multiplication. Or if you prefer matrices, as the group of 2x2 matrices {{cos(θ), -sin(θ)}, {sin(θ), cos(θ)}} for 0 ≤ θ < 2π.

Either way, you can find the tangent space at each point of SO(2) without referring to a larger group.
 
  • #11
zinq said:
[...] Or if you prefer matrices, as the group of 2x2 matrices {{cos(θ), -sin(θ)}, {sin(θ), cos(θ)}} for 0 ≤ θ < 2π.

Either way, you can find the tangent space at each point of SO(2) without referring to a larger group.

I think we agree that one can certainly find tangent spaces without referring to a larger group. What I would like to know is whether it is always possible to do it by using matrix derivatives or not. In my opinion if you want to calculate tangent spaces of SO(2) using matrix derivatives you need to work on a larger group, like GL(2,ℝ).

For example, let's consider 2x2 matrices as elements of SO(2). And let's consider a smooth path M(t) on SO(2). Can you explicitly define a (local) chart φ on SO(2) such that:

[tex]\Phi^{-1}\left( \frac{\text{d}}{\text{d}x} \mid_{t=0} \Phi \circ M\right) = \frac{\text{d}M}{\text{d}x}\mid_{t=0}[/tex] ?
 

Similar threads

  • · Replies 0 ·
Replies
0
Views
3K
  • · Replies 4 ·
Replies
4
Views
3K
  • · Replies 3 ·
Replies
3
Views
3K
  • · Replies 29 ·
Replies
29
Views
4K
  • · Replies 8 ·
Replies
8
Views
4K
  • · Replies 11 ·
Replies
11
Views
4K
  • · Replies 9 ·
Replies
9
Views
3K
  • · Replies 17 ·
Replies
17
Views
5K
  • · Replies 14 ·
Replies
14
Views
3K
  • · Replies 3 ·
Replies
3
Views
6K