Derive abbreviation of cos(a+summation(b))

  • Thread starter Thread starter baby_1
  • Start date Start date
  • Tags Tags
    Derive
Click For Summary
SUMMARY

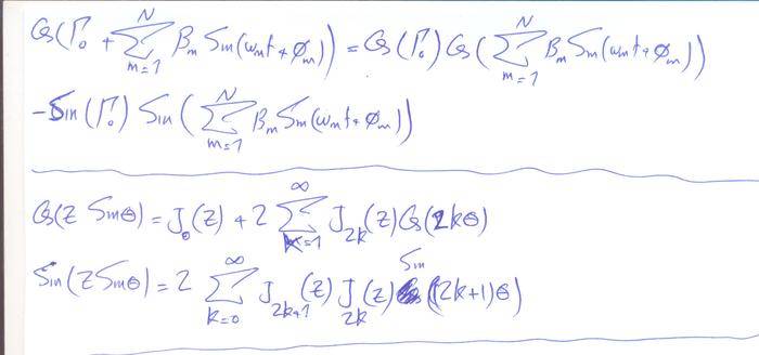
The discussion focuses on deriving the abbreviation of the equation cos(a + summation(b)). The user seeks to extend cos(summation) and sin(summation) into the forms of Bessel functions or products of Sin(wmt + phim). The initial step recommended is utilizing the identity cos(x) = Re(e^(ix)) to facilitate the derivation process.

PREREQUISITES
  • Understanding of trigonometric identities, specifically Euler's formula.
  • Familiarity with Bessel functions and their properties.
  • Knowledge of complex numbers and their representation.
  • Basic calculus concepts related to summation and series.
NEXT STEPS
  • Study the derivation of Bessel functions from trigonometric identities.
  • Learn about the application of Euler's formula in complex analysis.
  • Research the properties of summation in relation to Fourier series.
  • Explore the relationship between trigonometric functions and complex exponentials.
USEFUL FOR

Students in advanced mathematics, physicists working with wave functions, and anyone involved in signal processing or harmonic analysis.

baby_1
Messages
159
Reaction score
16

Homework Statement


I want to derive these equations
5958575700_1469177061.png


Homework Equations

The Attempt at a Solution



2388261400_1469177061.jpg

But I don't have any idea how can extend cos(summation) and sin(summation) in form of Bessel function or product of Sin(wmt+phim)
 
Physics news on Phys.org
The first step is using cos(x) = Re(eix)
 
  • Like
Likes   Reactions: baby_1

Similar threads

  • · Replies 14 ·
Replies
14
Views
3K
  • · Replies 5 ·
Replies
5
Views
2K
  • · Replies 6 ·
Replies
6
Views
2K
  • · Replies 9 ·
Replies
9
Views
3K
  • · Replies 6 ·
Replies
6
Views
2K
Replies
7
Views
2K
Replies
2
Views
2K
Replies
3
Views
2K
  • · Replies 7 ·
Replies
7
Views
2K