Deriving Differential Equations from the Riccati Equation for Optimal Control

Click For Summary

Homework Help Overview

The discussion revolves around a Linear Regulator Problem within the context of Optimal Control, specifically focusing on the derivation of differential equations from the Riccati equation. The original poster expresses confusion regarding the transition from a single equation to three separate differential equations, as presented in a reference text.

Discussion Character

  • Conceptual clarification, Assumption checking, Mixed

Approaches and Questions Raised

  • Participants explore the relationship between the Riccati equation and the resulting differential equations, questioning how a symmetric matrix leads to multiple equations. Some participants reference external papers for additional context, while others seek clarification on linear algebra properties related to matrix dimensions.

Discussion Status

There is an ongoing exploration of the concepts involved, with some participants beginning to grasp the relationships between the matrices and their components. However, confusion remains regarding the specifics of the equations and their derivations, indicating that further clarification may be needed.

Contextual Notes

Participants note the complexity of the problem, including the potential for missing information and the challenge of interpreting the mathematical relationships involved. The original poster and others express a desire for more detailed explanations regarding the derivation process.

JavierOlivares
Messages
14
Reaction score
0

Homework Statement



I was wondering if I can get some help on a Linear Regulator Problem for an Optimal Control Problem. Given a state equation and performance measure I am trying to solve using the Riccati equation on MATLAB. This is a sample example I got from a book Optimal Control Donald Kirk. I don't understand how they derived three separate differential equations from the Riccati equation:

The problem goes as followed:

Consider the system https://www.physicsforums.com/attachments/upload_2016-11-26_20-25-28-png.109458/
https://www.physicsforums.com/attachments/upload_2016-11-26_20-26-3-png.109459/

How did they go from a single equation K to three separate equations. I keep looking for resources but many other examples seem to skip this part. Thank for any help or input.

Homework Equations


https://www.physicsforums.com/attachments/upload_2016-11-26_20-26-46-png.109460/

The Attempt at a Solution


[/B]
upload_2016-11-26_20-43-29.png

upload_2016-11-26_20-43-49.png
 
Last edited by a moderator:
Physics news on Phys.org
https://www.physicsforums.com/attachments/upload_2016-11-26_20-39-19-png.109463/

I found a paper on this online that gives somewhat of an example of this problem.
https://www.physicsforums.com/attachments/upload_2016-11-26_20-40-26-png.109465/
https://www.physicsforums.com/attachments/upload_2016-11-26_20-41-4-png.109467/
It seems slightly different though. Sorry for any inconvenience.
 
Last edited by a moderator:
JavierOlivares said:

Homework Statement



I was wondering if I can get some help on a Linear Regulator Problem for an Optimal Control Problem. Given a state equation and performance measure I am trying to solve using the Riccati equation on MATLAB. This is a sample example I got from a book Optimal Control Donald Kirk. I don't understand how they derived three separate differential equations from the Riccati equation:

The problem goes as followed:

Consider the system https://www.physicsforums.com/attachments/upload_2016-11-26_20-25-28-png.109458/
https://www.physicsforums.com/attachments/upload_2016-11-26_20-26-3-png.109459/

How did they go from a single equation K to three separate equations. I keep looking for resources but many other examples seem to skip this part. Thank for any help or input.

Homework Equations


https://www.physicsforums.com/attachments/upload_2016-11-26_20-26-46-png.109460/

The Attempt at a Solution


[/B]
View attachment 109470
View attachment 109471

The differential equations for ##\mathbf{K}## and its transpose ##\mathbf{K}^T## are the same; and (as your attachment in post #2 states), ##\mathbf{K}(t_f) = \mathbf{S}##, where ##\mathbf{S}## is a symmetric matrix. Therefore, the solution ##\mathbf{K}(t)## is a symmetric matrix as well. Now just write the Ricatti equation for the symmetric matrix ##\mathbf{K}## in terms of its components:
$$\mathbf{K} = \pmatrix{K_{11}&K_{12}\\K_{12} & K_{22}} $$
 
Last edited by a moderator:
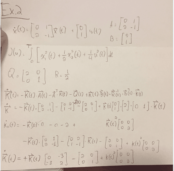
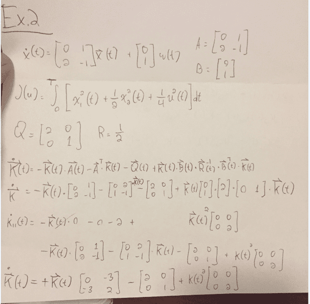
I'm still a little confused. I understand that the matrix is symmetric. I just don't understand how they have it equal on the LHS a row of three 3x1 differential equations when K seems to be a 2x2. That's where I'm confused. I'm thinking this is some linear algebra property that's going over my head. I don't know if the notes I provided actually answer my question. Thanks for the response

upload_2016-11-27_23-2-37.png
 
JavierOlivares said:
I'm still a little confused. I understand that the matrix is symmetric. I just don't understand how they have it equal on the LHS a row of three 3x1 differential equations when K seems to be a 2x2. That's where I'm confused. I'm thinking this is some linear algebra property that's going over my head. I don't know if the notes I provided actually answer my question. Thanks for the response

View attachment 109555

I have not checked the picture: it is too messy and unstructured. However, both sides of your differential equation are 2x2 matrices, so you get 4 coupled differential equations. Since the matrix is symmetric, only three of the equations are different
 
I think I understand now. I was just confused on multiplying the X Matrix by another 2x2 Matrix. I was thinking the equations would combine X11 + X12 as in the case of a 2x2 and 2x1 but it makes sense now. Thanks.
 

Similar threads

  • · Replies 3 ·
Replies
3
Views
2K
  • · Replies 3 ·
Replies
3
Views
2K
Replies
12
Views
2K
  • · Replies 1 ·
Replies
1
Views
1K
  • · Replies 1 ·
Replies
1
Views
2K
  • · Replies 7 ·
Replies
7
Views
2K
  • · Replies 2 ·
Replies
2
Views
2K
  • · Replies 7 ·
Replies
7
Views
2K
Replies
12
Views
3K
Replies
5
Views
2K