Apostol Problem on ODE applied to Population Growth

Click For Summary
SUMMARY

The discussion focuses on solving the Apostol Problem on Ordinary Differential Equations (ODE) as applied to population growth. The key equation derived is x(t)=\frac{M}{1+e^{-kM(t-t_h)}}, where t_h is defined such that x(t_h)=\frac{M}{2}. It is established that the population approaches the maximum capacity M asymptotically without ever reaching it. The participants emphasize the importance of correctly identifying the time variables and their relationships in the context of census readings.

PREREQUISITES
  • Understanding of Ordinary Differential Equations (ODE)
  • Familiarity with population growth models
  • Knowledge of exponential functions and their properties
  • Experience with calculus, particularly integration techniques
NEXT STEPS
  • Explore the implications of asymptotic behavior in population models
  • Study the application of partial fractions in solving integrals
  • Learn about the logistic growth model and its parameters
  • Investigate the significance of census timing in population studies
USEFUL FOR

Mathematicians, biologists, and researchers involved in population dynamics, as well as students studying differential equations and their applications in real-world scenarios.

zenterix
Messages
774
Reaction score
84
Homework Statement
The following two problems are from chapter 8.7 "Introduction to Differential Equations" of Apostol's Calculus Volume I.

Problem 13. (Prelude to Problem 14, about which my question is)

Express ##x## as a function of ##t## for the growth law

$$\frac{dx}{dt}=kx(M-x)$$

with ##k## and ##M## both constant. Show that

$$x(t)=\frac{M}{1+e^{-kM(t-t_1)}}\tag{8.23}$$

where ##t_1## is the time at which ##x=M/2##.

Problem 14.

Assume the growth law in formula 8.23 of exercise 13, and suppose a census is taken at three equally spaced times ##t_1,t_2,t_3##, the resulting numbers being ##x_1,x_2,x_3##. Show that this suffices to determine ##M## and that, in fact, we have

$$M=x_2\frac{x_3(x_2-x_1)-x_1(x_3-x_2)}{x_2^2-x_1x_3}\tag{8.24}$$
Relevant Equations
My question is strictly about exercise 14.

Exercise 13 is a relatively simple matter (and I include at the end my solution to it).
First of all, a few observations

1) It is not clear if the ##t_1## used in problem 14 is the same ##t_1## from problem 13 where ##x(t_1)=\frac{M}{2}##.

However, if it were, then the problem seems like it wouldn't make too much sense because we'd have ##M=2x_1## and that'd be it (though this wouldn't match the expression the problem has for ##M##).

We would be able to solve for ##k## as well in this case with just one census reading.

2) From (8.23) it seems that the population never actually reaches ##M##. It just gets really close from below.

Now let me rewrite the equation for ##x## as follows

$$x(t)=\frac{M}{1+e^{-kM(t-t_h)}}$$

where now ##t_h## is such that ##x(t_h)=\frac{M}{2}##.

I've tried a few things but am a bit stuck.

Each attempt is a lot to type so I will have to screenshot them.

First I tried to just plug the values in

1697739984963.png


But this doesn't seem to tell me much.

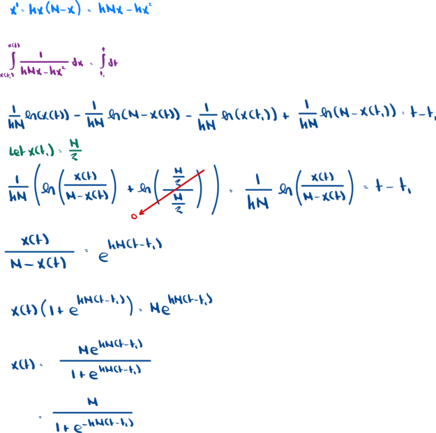
Well, I will post now, as I continue to think about this problem.Since it will be too much work to write out all my work for problem 13 in equations, here is a screenshot of the work

1697736249797.png


Note that I used partial fractions to solve the integral in purple, and the calculations were as follows

1697738887613.png
 

Attachments

  • 1697736298015.png
    1697736298015.png
    18.4 KB · Views: 133
  • 1697738290295.png
    1697738290295.png
    10.2 KB · Views: 129
  • 1697738614666.png
    1697738614666.png
    9.1 KB · Views: 126
Last edited:
Physics news on Phys.org
zenterix said:
First of all, a few observations

1) It is not clear if the ##t_1## used in problem 14 is the same ##t_1## from problem 13 where ##x(t_1)=\frac{M}{2}##.

It isn't, for the following reason:

However, if it were, then the problem seems like it wouldn't make too much sense because we'd have ##M=2x_1## and that'd be it (though this wouldn't match the expression the problem has for ##M##).

We would be able to solve for ##k## as well in this case with just one census reading.

2) From (8.23) it seems that the population never actually reaches ##M##. It just gets really close from below.

Now let me rewrite the equation for ##x## as follows

$$x(t)=\frac{M}{1+e^{-kM(t-t_h)}}$$

where now ##t_h## is such that ##x(t_h)=\frac{M}{2}##.

I've tried a few things but am a bit stuck.

The key is that the times are equally spaced, so [itex]t_2 = t_1 + T[/itex], [itex]t_3 = t_1 + 2T[/itex]. Then you have [tex]\begin{split}<br /> x_1 &= \frac{M}{1 + A} \\<br /> x_2 &= \frac{M}{1 + e^{-kM(t_1 + T - t_h)}} = \frac{M}{1 + AB} \\<br /> x_3 &= \frac{M}{1 + e^{-kM(t_1 + 2T - t_h)}} = \frac{M}{1 + AB^2} \end{split}[/tex] where [itex] A = e^{-kM(t_1 - t_h)}[/itex] and [itex]B = e^{-kMT}[/itex]. Here I think the strategy is to find an expression for [itex]B[/itex] from the second equation, and set the square of that equal to the expression for [itex]B^2[/itex] obtained from the third equation; then the first equation can be used to eliminate [itex]A[/itex].
 

Similar threads

Replies
3
Views
2K
Replies
7
Views
2K
Replies
13
Views
3K
  • · Replies 7 ·
Replies
7
Views
2K
  • · Replies 1 ·
Replies
1
Views
2K
  • · Replies 2 ·
Replies
2
Views
3K
  • · Replies 5 ·
Replies
5
Views
4K
  • · Replies 2 ·
Replies
2
Views
2K
  • · Replies 1 ·
Replies
1
Views
1K
  • · Replies 10 ·
Replies
10
Views
6K