Determine if EVT applies (Calculus I)

  • Thread starter Thread starter Blablablabla
  • Start date Start date
  • Tags Tags
    calculus i
Click For Summary

Homework Help Overview

The discussion revolves around the application of the Extreme Value Theorem (EVT) in the context of a function defined on the interval [2, 8]. Participants are examining the conditions under which EVT applies, particularly focusing on continuity and the function's domain.

Discussion Character

  • Conceptual clarification, Assumption checking

Approaches and Questions Raised

  • Participants discuss the requirements for EVT, including continuity on the specified interval and the implications of the function's domain. Questions arise regarding the definition of EVT and its specific conditions as presented in different textbooks.

Discussion Status

The discussion is ongoing, with participants exploring the nuances of EVT and its application. Some have provided definitions and conditions, while others are seeking clarification on the theorem's specifics and its implications based on different interpretations.

Contextual Notes

There is mention of a specific domain for the function, which excludes -4, and participants are considering whether this exclusion affects the application of EVT on the given interval. Additionally, there is a reference to a missing image that may be relevant to the problem context.

Blablablabla
Messages
12
Reaction score
0

Homework Statement


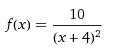
Determine if the EVT (Extreme Value Theorem) applies to the following.

Untitled.png


on the interval [2, 8]

The Attempt at a Solution



For the Extreme Value Theorem to apply, the function must be on an interval, and the function must be continious.

I believe the domain for this function is {x | x ≠ -4}

But since -4 is not in the interval, the EVT should apply.
 
Last edited:
Physics news on Phys.org
Blablablabla said:

Homework Statement


Determine if the EVT applies to the following.

http://www4a.wolframalpha.com/Calculate/MSP/MSP8951a40h06a29428ad200001gbeeg8268c71ecc?MSPStoreType=image/gif&s=59&w=100&h=39

on the interval [2, 8]



The Attempt at a Solution



For the EVT to apply, the function must be on an interval, and the function must be continious.

I believe the domain for this function is {x | x ≠ -4}

But since -4 is not in the interval, the EVT should apply.

(1) What on Earth is an EVT?
(2) Image does not show up on screen.

RGV
 
Last edited by a moderator:
Hi, sorry about that. I fixed it
 
Blablablabla said:
Hi, sorry about that. I fixed it

What, exactly, does the EVT say? I mean the version of the EVT theorem in your textbook or course notes. (I have seen some versions in which the answer would be "no" and other versions in which the answer would be "yes".)

RGV
 
The Extreme Value Theorem

If f is continuous on a closed interval [a, b], then f attains an absolute maximum value f(c) for some number c in [a, b] and an absolute minimum value f(d) for some number d in [a, b].

That's what my textbook says
 

Similar threads

  • · Replies 2 ·
Replies
2
Views
2K
  • · Replies 7 ·
Replies
7
Views
2K
  • · Replies 3 ·
Replies
3
Views
2K
  • · Replies 2 ·
Replies
2
Views
3K
Replies
11
Views
2K
  • · Replies 9 ·
Replies
9
Views
3K
  • · Replies 2 ·
Replies
2
Views
2K
  • · Replies 6 ·
Replies
6
Views
2K
Replies
2
Views
2K
  • · Replies 3 ·
Replies
3
Views
4K