Determine state of particle: Quantum Mechanics (Phase)

Click For Summary

Homework Help Overview

The discussion revolves around understanding quantum mechanics concepts related to the state of a particle, specifically focusing on phase factors and probability amplitudes in quantum states.

Discussion Character

  • Conceptual clarification, Assumption checking, Mathematical reasoning

Approaches and Questions Raised

  • Participants explore the reasoning behind the choice of phase factors in quantum states and question the derivation of probability values associated with different states.

Discussion Status

Participants are actively engaging with each other's questions, seeking clarification on complex notation and the interpretation of quantum states. There is an ongoing exploration of the relationships between different representations of states and their probabilities.

Contextual Notes

Some participants express confusion regarding the notation used for complex numbers and the implications of arbitrary phase choices in quantum mechanics. There is a recognition of the need for clarity in mathematical expressions and their interpretations.

grandpa2390
Messages
473
Reaction score
14

Homework Statement


?temp_hash=376b5349b1cd263a404cd80d1358b003.png


Homework Equations

The Attempt at a Solution


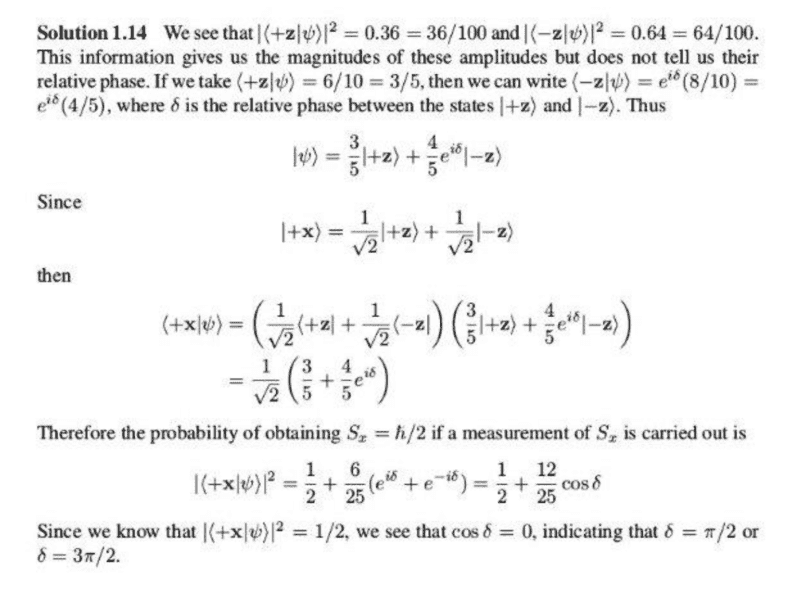
This is the Solution. I am having trouble understanding parts of it.

?temp_hash=376b5349b1cd263a404cd80d1358b003.png


The first part I don't get is why the e^i... goes with the -z. Did my professor just choose one at random, or is there a specific reason?

The second part I am not understanding is how he got that |<+x|>|^2 = 1/2...
I tried squaring the expression for <+x| > but I am not coming up with that value.
 

Attachments

  • Screen Shot 2017-10-01 at 10.44.41 PM.png
    Screen Shot 2017-10-01 at 10.44.41 PM.png
    20 KB · Views: 537
  • Screen Shot 2017-10-01 at 10.46.31 PM.png
    Screen Shot 2017-10-01 at 10.46.31 PM.png
    58.7 KB · Views: 853
Physics news on Phys.org
grandpa2390 said:
The first part I don't get is why the e^i... goes with the -z. Did my professor just choose one at random, or is there a specific reason?
It is an arbitrary choice. A state is determined only up to an arbitrary overall phase factor. So, the most you can expect to do is determine the relative phase between the up and down z states in ##|\psi \rangle##. You could just as well put the relative phase factor ##e^{i \delta}## with the ##|+z \rangle## ket.

The second part I am not understanding is how he got that |<+x|>|^2 = 1/2
It has to do with the information given about the probability for finding the particle in the ##|+x \rangle## state.
 
  • Like
Likes   Reactions: grandpa2390
TSny said:
It has to do with the information given about the probability for finding the particle in the ##|+x \rangle## state.

Could you elaborate?

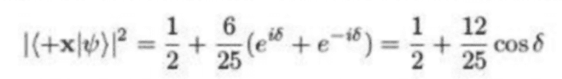
How did he get to

?temp_hash=5ae061beb79111835efa91403d35deae.png
 

Attachments

  • Screen Shot 2017-10-01 at 11.36.57 PM.png
    Screen Shot 2017-10-01 at 11.36.57 PM.png
    12.1 KB · Views: 526
If z is a complex number, then |z|2 = z*z.
 
  • Like
Likes   Reactions: grandpa2390
TSny said:
If z is a complex number, then |z|2 = z*z.

you are not making any sense. As I said, I did square the expression in the previous step. but I did not get that result.
 
TSny said:
If z is a complex number, then |z|2 = z*z.

are you say to multiply it by the complex conjugate?
 
grandpa2390 said:
are you say to multiply it by the complex conjugate?
Yes. Maybe it will be clearer using LaTeX:
$$
|z|^2 = z^* z
$$

(Edit: That's not necessarily clearer. I understand better why many mathematicians prefer the notation ##\bar{z}## to ##z^*##.)
 
  • Like
Likes   Reactions: TSny and grandpa2390
DrClaude said:
Yes. Maybe it will be clearer using LaTeX:
$$
|z|^2 = z^* z
$$

(Edit: That's not necessarily clearer. I understand better why many mathematicians prefer the notation ##\bar{z}## to ##z^*##.)
Thanks.
Lol, Written by hand, it makes sense. But on the computer, I am so used to seeing that symbol used for regular multiplication.

Thank you both.
 
OK, good. Sorry for the confusion regarding the complex conjugate notation.
Moreover, when I first read the following
grandpa2390 said:
The second part I am not understanding is how he got that |<+x|>|^2 = 1/2...
I tried squaring the expression for <+x| > but I am not coming up with that value.
I didn't notice the three dots ... after the 1/2. So, I thought you were asking why ##|\langle +x|\psi \rangle|^2= 1/2## . Thus, my response in post #2.
Oh well, glad it all got sorted out.
 
  • #10
TSny said:
OK, good. Sorry for the confusion regarding the complex conjugate notation.
Moreover, when I first read the following

I didn't notice the three dots ... after the 1/2. So, I thought you were asking why ##|\langle +x|\psi \rangle|^2= 1/2## . Thus, my response in post #2.
Oh well, glad it all got sorted out.

I suspected that. so I posted the whole thing the second time (as I should have done the first time ;)

thanks
 

Similar threads

  • · Replies 5 ·
Replies
5
Views
1K
Replies
28
Views
2K
  • · Replies 1 ·
Replies
1
Views
2K
  • · Replies 9 ·
Replies
9
Views
907
  • · Replies 9 ·
Replies
9
Views
1K
  • · Replies 2 ·
Replies
2
Views
2K
  • · Replies 7 ·
Replies
7
Views
4K
Replies
37
Views
4K
  • · Replies 6 ·
Replies
6
Views
2K
  • · Replies 3 ·
Replies
3
Views
2K