Determine the radius of a rising bubble

  • Thread starter Thread starter Sabra_a
  • Start date Start date
  • Tags Tags
    Bubble Radius
Click For Summary

Homework Help Overview

The discussion revolves around determining the radius of a rising air bubble in a water tank, initially at a depth of 4 meters and later at 0.1 meters. The problem involves concepts from fluid mechanics, particularly the relationship between pressure, volume, and surface tension in a gas bubble.

Discussion Character

  • Exploratory, Conceptual clarification, Mathematical reasoning, Problem interpretation, Assumption checking

Approaches and Questions Raised

  • Participants explore the relationship between pressure and volume using the ideal gas law and discuss the effects of surface tension on the pressure within the bubble. There are attempts to clarify unit conversions and the application of pressure equations at different depths.

Discussion Status

The discussion is ongoing, with participants providing various calculations and questioning assumptions about pressure contributions. Some guidance has been offered regarding the use of symbols and the importance of absolute pressures, while others are exploring how to account for surface tension in their calculations.

Contextual Notes

There are indications of confusion regarding the correct application of formulas and the significance of surface tension at different depths. Participants are also addressing the need for clarity in unit conversions and the implications of using approximate values in their calculations.

Sabra_a
Messages
33
Reaction score
6
Homework Statement
A small air bubble at the bottom of an open 4-m depth water tank
has a radius of 0.5 mm. Due to some reason the bubble comes off
the bottom. Determine the radius of the bubble when it is 0.1 m
below the surface. Assume that the pressure inside the bubble is
2/r above the pressure outside the bubble, where  =0.073 N/m –
the surface tension of water-air and r – the radius of the bubble. The
pressure and volume of the air in the bubble are related by the
expression pV=const.
Relevant Equations
ρ=2 σ/r
P=ρgh+P
Homework Statement: A small air bubble at the bottom of an open 4-m depth water tank
has a radius of 0.5 mm. Due to some reason the bubble comes off
the bottom. Determine the radius of the bubble when it is 0.1 m
below the surface. Assume that the pressure inside the bubble is
2/r above the pressure outside the bubble, where  =0.073 N/m –
the surface tension of water-air and r – the radius of the bubble. The
pressure and volume of the air in the bubble are related by the
expression pV=const.
Homework Equations: ρ=2 σ/r
P=ρgh+P

I calculated the pressure inside the bubble multiplying 2 into the given surface tension and the reduce I'm not sure if I should convert the mm to m for the radius or its not required.
ρ=2 σ/r
ρ=2 0.073/0.5
ρ= 0.292

the substituted that in P=ρgh+P
= (0.292)(9.81)(4) + 101300
=101311.4

this is what I did so far
 
  • Like
Likes   Reactions: berkeman
Physics news on Phys.org
Good recovery ! :welcome: back .

Now what about this PV = Const equation ?
And: what you did for h = 4 you can also do for h = 0.1

Help me understand the units you use. 0.292 stones/cubic inch ?
 
  • Like
Likes   Reactions: berkeman
Thank you!
I think I should convert he radius unit to m from 0.5mm to 0.0005 m.
ρ=2 σ/r
ρ=2 (0.073N/m/0.0005m)
ρ= 292 N/m2 or Pascal

the substituted that in P=ρgh+P
= (292)(9.81)(4) + 101300
=112758.08

when h = 0.1
= (292)(9.81)(0.1) + 101300
= 101586.452

PV= constant
maybe rearrange the equation to calculate volume! PV=nRT but we don't have the n and T
 
No, but we do have p and V at 4 m depth ... so we have the constant nRT !
 
  • Like
Likes   Reactions: WWGD
so we calculate the volume of sphere by V=
1572692947739.png

V= 3/4 * 3.14 * (0.0005)3
= 2.94x10^-10

PV=constant
112758.08 * 2.94x10^-10
3.32x10^-5
 
Explain, please ...
Tip: use symbols, not numbers. And at the end: first check dimensions, then finally substitute to get a number + dimension for the answer. Oh, and don't let the number of significant digits explode. One or, tops, two -- like in the given information.

p at a depth of 4 m is bigger than 1.1 x 105 N/m2
 
because we have pressure we need to calculate volume by calculating the volume of sphere V=
1572692947739-png.png

radius = 0.0005 m
V= (3/4) * (3.14) * (0.0005)^3
= 2.94x10^-10 m^3

substituting the volume value in PV=constant
P and V at 4 m depth
PV=constant
(112758.08 * 2.94x10^-10) = constant
3.32x10^-5 = constant

as we have pressure and volume at 4 m depth but we have only pressure at 0.1 m we can use the following equation
P1V1=P2V2
V2 = P1V1/P2
V2 = 3.32x10^-5 / 101586.452
= 3.26x10^-10
 
Sabra_a said:
because we have pressure we need to calculate volume by calculating the volume of sphere V= View attachment 252197
radius = 0.0005 m
V= (3/4) * (3.14) * (0.0005)^3
= 2.94x10^-10 m^3

substituting the volume value in PV=constant
P and V at 4 m depth
PV=constant
(112758.08 * 2.94x10^-10) = constant
3.32x10^-5 = constant

as we have pressure and volume at 4 m depth but we have only pressure at 0.1 m we can use the following equation
P1V1=P2V2
V2 = P1V1/P2
V2 = 3.32x10^-5 / 101586.452
= 3.26x10^-10
Your equation for the volume is incorrect. It is 4/3, not 3/4. In addition, you did not take into account the effect of surface tension in getting the pressure within the gas bubble at the 0.1 m depth.
 
  • Like
Likes   Reactions: Sabra_a
volume of sphere
= 4/3 * 3.14 * r^3
= (4/3) * (3.14) * (0.0005)^3
= 5.23x10^-10 m3
I don't really get how to solve this question
by take into account the effect of surface tension at 0.1 m depth do you mean adding it to the equation
P=ρgh+P+ surface tension
 
  • #10
Sabra_a said:
volume of sphere
= 4/3 * 3.14 * r^3
= (4/3) * (3.14) * (0.0005)^3
= 5.23x10^-10 m3
I don't really get how to solve this question
by take into account the effect of surface tension at 0.1 m depth do you mean adding it to the equation
P=ρgh+P+ surface tension
$$P_1=\rho g h_1+\frac{2\sigma}{r_1}$$
$$P_2=\rho g h_2+\frac{2\sigma}{r_2}$$$$P_2V_2=P_1V_1$$
$$V=\frac{4}{3}\pi r^3$$
 
  • Like
Likes   Reactions: DEvens and Sabra_a
  • #11
Sabra_a said:
Homework Equations: ρ=2 σ/r
P=ρgh+P
There are some things utterly wrong here !
I recognize the second one by its form but not in the way presented (leads to ##\rho g h = 0##) . But that is definitely NOT the ##rho## in the first.

@Sabra_a : urgent advice to make good use of the tips in #6. Observe how much clearer things become when you use symbols, as @Chestermiller demonstrates in #10 ! You can count knowns, unknowns and number of equations to check if you have enough to start calculating, you can check dimensions, strike common factors, etc. etc. Much less prone to errors and easier to fix should you discover a mistake on the way.
 
  • #12
I hope this is clear now
##P=\frac {2σ} {r}##
r = 0.5mm →m = 0.0005m

##P=\frac {2*0.073N} {0.0005m}##

##P=292 N/m^2##
density of water = 1000 ##kg/m^3##

##P_1=ρgh_1+\frac {2σ} {r_1}##
## = 1000*9.81*4+292##
##P_2=39532##

##P_2=ρgh_2+\frac {2σ} {r_2}##
## = 1000*9.81*0.1+292##
##P_2=1273##

##V_1=\frac {4} {3} πr^3##
##V=\frac {4} {3} π(0.0005)^3##

##V_1=5.23*10^{-10}##

##P_2V_2=P_1V_1##

##V_2=\frac {P_1V_1} {P_2}##

##V_2=1.62*10^{-8}##

 
  • #13
Sabra_a said:
I hope this is clear now
##P=\frac {2σ} {r}##
r = 0.5mm →m = 0.0005m

##P=\frac {2*0.073N} {0.0005m}##

##P=292 N/m^2##
density of water = 1000 ##kg/m^3##

##P_1=ρgh_1+\frac {2σ} {r_1}##
## = 1000*9.81*4+292##
##P_2=39532##​

You forgot to include atmospheric pressure in this calculation. If you are using the ideal gas law later, you need to use absolute pressures.
##P_2=ρgh_2+\frac {2σ} {r_2}##
## = 1000*9.81*0.1+292##
##P_2=1273##
You again forgot to include atmospheric pressure here. And the surface tension contribution is not 292 since you don't even know r2 yet.
##V_1=\frac {4} {3} πr^3##
##V=\frac {4} {3} π(0.0005)^3##

##V_1=5.23*10^{-10}##
This is correct.
##P_2V_2=P_1V_1##

##V_2=\frac {P_1V_1} {P_2}##

##V_2=1.62*10^{-8}##
This is incorrect because you need to use absolute pressures.​
 
  • #14
##P=\frac {2σ} {r}##
r = 0.5mm →m = 0.0005m

##P=\frac {2*0.073N} {0.0005m}##

##P=292 N/m^2##
density of water = 1000 ##kg/m^3##

##P_1=ρgh_1+\frac {2σ} {r_1}+P##
## = 1000*9.81*4+292+101300##
##P_1=140832##

##V_1=\frac {4} {3} πr^3##
##V=\frac {4} {3} π(0.0005)^3##

##V_1=5.23*10^{-10}##

##P_1V_1=constant##
##140832 * 5.23*10^{-10}=const.##
##7.36*10^{-5}=const.##
 
  • #15
Sabra_a said:
##P=\frac {2σ} {r}##
r = 0.5mm →m = 0.0005m

##P=\frac {2*0.073N} {0.0005m}##

##P=292 N/m^2##
density of water = 1000 ##kg/m^3##

##P_1=ρgh_1+\frac {2σ} {r_1}+P##
## = 1000*9.81*4+292+101300##
##P_1=140832##

##V_1=\frac {4} {3} πr^3##
##V=\frac {4} {3} π(0.0005)^3##

##V_1=5.23*10^{-10}##

##P_1V_1=constant##
##140832 * 5.23*10^{-10}=const.##
##7.36*10^{-5}=const.##
OK so far. How much do you think the surface tension term contributes to the final answer?
 
  • #16
as the bubble move upwards it grows in size, so as the volume increase pressure outside the bubble drops therefore surface tension increases!
 
  • #17
Sabra_a said:
as the bubble move upwards it grows in size, so as the volume increase pressure outside the bubble drops therefore surface tension increases!
Actually, as the radius of the bubble increases, the contribution of surface tension to the pressure of the gas inside the bubble decreases. And you have already shown that for the depth of 4 m, the surface tension contribution to the pressure is only 292 Pa out of 140832 Pa, or much less than 1%. You will find that the surface tension contribution at the shallower depth will be even less. So, you might as well neglect surface tension. But it's very minor effect can still be included if you really want to.
 
  • #18
I will probably include it, but how I will be able to calculate the radius at 0.1 m?
 
  • #19
You have a non-linear algebraic equation to solve, right? What methods do you know of for solving a non-linear algebraic equation?
 
  • #20
##ax+b=0##
##x=-b/a##
 
  • #21
Sabra_a said:
##ax+b=0##
##x=-b/a##
I said non-linear.
 
  • #22
Let me summarize what you have so far: $$P_1\left(\frac{4}{3}\pi r_1^3\right)=P_2\left(\frac{4}{3}\pi r_2^3\right)$$ or, equivalently $$P_1r_1^3=P_2r_2^3$$with $$P_1=P_{atm}+\rho g h_1+\frac{2\sigma}{r_1}$$and$$P_2=P_{atm}+\rho g h_2+\frac{2\sigma}{r_2}$$Combining these equations gives:
$$(P_{atm}+\rho g h_1+\frac{2\sigma}{r_1})r_1^3=(P_{atm}+\rho g h_2+\frac{2\sigma}{r_2})r_2^3$$Next, defining $$x=\frac{r_2}{r_1}$$ we have:$$(P_{atm}+\rho g h_1+\frac{2\sigma}{r_1})=(P_{atm}+\rho g h_2+\frac{2\sigma}{r_1x})x^3$$Our objective is to solve for x. Do you agree with this so far?
 
  • #23
yes I do agree
 
  • #24
It is possible to solve this cubic equation in x analytically, but it is much easier to solve numerically. Any ideas on how to solve it numerically? Have you heard of the "method of successive substitutions?" What level of math have you had so far in your courses?
 
  • #25
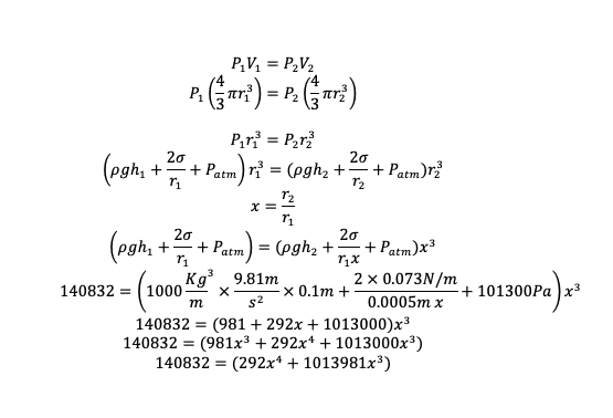
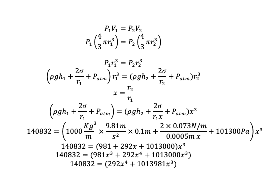
I have stopped uni 3 years ago, don't remember much but trying my best. is it fine like this
Screen Shot 2019-11-06 at 1.59.01 PM.png
 
  • #26
Sabra_a said:
I have stopped uni 3 years ago, don't remember much but trying my best. is it fine like this
View attachment 252449
No. Your algebra is incorrect.
 

Similar threads

Replies
3
Views
1K
  • · Replies 2 ·
Replies
2
Views
2K
  • · Replies 6 ·
Replies
6
Views
3K
Replies
18
Views
5K
  • · Replies 3 ·
Replies
3
Views
3K
  • · Replies 5 ·
Replies
5
Views
2K
  • · Replies 21 ·
Replies
21
Views
3K
  • · Replies 5 ·
Replies
5
Views
4K
  • · Replies 1 ·
Replies
1
Views
3K
Replies
5
Views
4K