Determine the resistance of an ammeter.

Click For Summary

Homework Help Overview

The problem involves an inductor connected in series with an AC source, where the rms output voltage is given, along with the current reading from a hot-wire ammeter. The task is to determine the resistance of the ammeter, considering the voltage ratio across the ammeter and the inductor.

Discussion Character

  • Exploratory, Assumption checking, Conceptual clarification

Approaches and Questions Raised

  • Participants discuss the relationship between the voltages across the ammeter and the inductor, noting the phase difference. There are attempts to understand the implications of this phase difference on the calculations.

Discussion Status

Some participants are exploring the use of phasor diagrams to represent the voltages and their relationships. Guidance has been offered regarding vector addition of voltages in the context of AC circuits, but no consensus on a final method has been reached.

Contextual Notes

There is a mention of neglecting the inductor resistance, and participants are questioning how this assumption affects their calculations. The original poster expresses confusion regarding discrepancies between their results and textbook answers.

Asmaa Mohammad
Messages
182
Reaction score
7

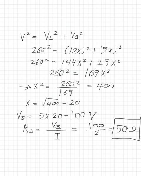
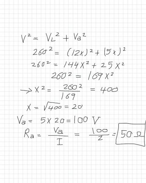
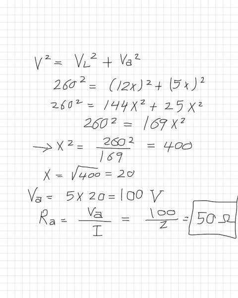
Homework Statement


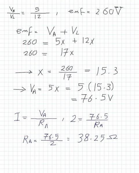
An inductor is connected in series with an AC source, the rms output voltage of it is 260V and a hot-wire ammeter reads 2A. If the ratio of the voltage across the ammeter to the voltage across the inductor is 5/12, determine the resistance of the ammeter. (Neglect the inductor resistance).

Homework Equations


1nxNk.jpg
[/B]
i=V/R (where i is the current, V is the voltage and R is the resistance).

The Attempt at a Solution



(Va is the ammeter voltage and Vl is the inductor voltage)
My result is not what in my textbook, could you explain why?
 
Physics news on Phys.org
Asmaa Mohammad said:

Homework Statement


An inductor is connected in series with an AC source, the rms output voltage of it is 260V and a hot-wire ammeter reads 2A. If the ratio of the voltage across the ammeter to the voltage across the inductor is 5/12, determine the resistance of the ammeter. (Neglect the inductor resistance).

Homework Equations


View attachment 196344 [/B]
i=V/R (where i is the current, V is the voltage and R is the resistance).

The Attempt at a Solution



(Va is the ammeter voltage and Vl is the inductor voltage)
My result is not what in my textbook, could you explain why?
The voltage across the ammeter (UA) is not in phase with the voltage across the inductor (UL)
upload_2017-4-23_13-4-14.png
 
ehild said:
The voltage across the ammeter (UA) is not in phase with the voltage across the inductor (UL)
View attachment 196351
So, what should I do?
 
Asmaa Mohammad said:
So, what should I do?
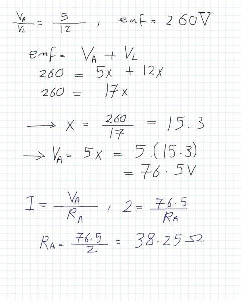
Look at the picture, it is the phasor diagram of the voltages. The resistance of the ammeter is in series with the inductor. The voltage across the inductor is 90°ahead of the voltage of the resistor. You have to add the voltages as vectors, and the resultant voltage (the red vector) is equal to the voltage of the AC generator.
 
ehild said:
Look at the picture, it is the phasor diagram of the voltages. The resistance of the ammeter is in series with the inductor. The voltage across the inductor is 90°ahead of the voltage of the resistor. You have to add the voltages as vectors, and the resultant voltage (the red vector) is equal to the voltage of the AC generator.
You mean it will be like this?
exY0o.jpg
 
ehild said:
Exactly! You did it! :smile:
I checked my book and found it was the right answer. Thank you, ehild!
 

Similar threads

  • · Replies 11 ·
Replies
11
Views
5K
  • · Replies 10 ·
Replies
10
Views
1K
  • · Replies 2 ·
Replies
2
Views
2K
  • · Replies 3 ·
Replies
3
Views
2K
  • · Replies 2 ·
Replies
2
Views
2K
  • · Replies 10 ·
Replies
10
Views
2K
  • · Replies 4 ·
Replies
4
Views
2K
  • · Replies 12 ·
Replies
12
Views
7K
  • · Replies 9 ·
Replies
9
Views
10K
Replies
4
Views
2K