Determining ceramic particle sizes suspended in a fluid

  • Thread starter Thread starter Tiberious
  • Start date Start date
  • Tags Tags
    Fluid Particle
Click For Summary

Discussion Overview

The discussion revolves around determining ceramic particle sizes suspended in a fluid, focusing on an experiment that measures the rate of descent of particles. Participants explore the application of relevant equations and the importance of unit consistency in calculations.

Discussion Character

  • Homework-related
  • Mathematical reasoning
  • Technical explanation
  • Debate/contested

Main Points Raised

  • One participant presents an experimental scenario involving the descent rate of ceramic particles and seeks to rearrange the relevant equation for calculating particle sizes.
  • Another participant shares an alternative method for measuring particle size using electrical conductivity, noting the challenges of reliability.
  • Several participants discuss the importance of including units in calculations to avoid conversion errors and ensure consistency.
  • Concerns are raised about the clarity of the rearranged equation and the proper representation of units, with specific references to the use of LaTeX for formatting.
  • There is a debate about whether the original problem statement was in microns or SI units, with some participants asserting that all values are in SI units and no conversions are necessary.
  • One participant acknowledges an error in unit conversion and expresses gratitude for the feedback received.
  • Another participant emphasizes the critical nature of maintaining correct units in physics calculations, pointing out multiple errors in the presented equation.

Areas of Agreement / Disagreement

Participants express differing views on the necessity of unit conversions and the interpretation of the original problem statement. There is no consensus on the correctness of the rearranged equation or the units used, indicating ongoing debate and uncertainty.

Contextual Notes

Limitations include potential errors in unit conversions, unclear representation of physical quantities, and unresolved mathematical steps in the rearranged equation.

Tiberious
Messages
71
Reaction score
3

Homework Statement


(I) An experiment to determine ceramic particle sizes showed that the rate of descent when suspended in a fluid ranged from 1.2 × 10–6 m s–1 to 5 × 10–6 m s–1. 
The density of the material was 3800 kg m–3 and the density and viscosity of the fluid at room temperature were 1632 kg m–3 and 0.00972 Pas respectively. Calculate the range of sizes of the particles. 


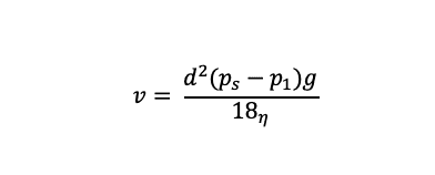
Homework Equations



Screen Shot 2019-01-15 at 21.13.34.png

The Attempt at a Solution



Screen Shot 2019-01-15 at 21.12.06.png
[/B]
Screen Shot 2019-01-15 at 21.12.12.png

Screen Shot 2019-01-15 at 21.12.17.png


I've recently completed the above, though the diameters have not yet been calculated. Does the rearrangement of the original equation look correct ?
 

Attachments

  • Screen Shot 2019-01-15 at 21.13.34.png
    Screen Shot 2019-01-15 at 21.13.34.png
    1.5 KB · Views: 709
  • Screen Shot 2019-01-15 at 21.12.06.png
    Screen Shot 2019-01-15 at 21.12.06.png
    15.5 KB · Views: 958
  • Screen Shot 2019-01-15 at 21.12.12.png
    Screen Shot 2019-01-15 at 21.12.12.png
    5.9 KB · Views: 779
  • Screen Shot 2019-01-15 at 21.12.17.png
    Screen Shot 2019-01-15 at 21.12.17.png
    8 KB · Views: 727
Physics news on Phys.org
Tangential, we used to measure particle size of an antacid dispersal and an iron supplement by an electrical method related to blood-cell counting.

IIRC, a representative dilution was trickled through a submerged capillary nozzle, and the variations in conductivity between carrier and carrier + particle cleverly logged by multiple parallel 'box-car' circuits. Getting it to work reliably was a bit of an art, to say the least. My understanding was that its digital replacement was rather more user-friendly...
 
Thank-you, any ideas as towards the rearrangement of the formula ?
 
Just from an Algebraic standpoint, the re-arrangement looks good to me!

However I wonder about the particle sizes. In particular their are no units-of-measure in the problem statement. Are the units consistent in your numerical representation?
 
Screen Shot 2019-01-20 at 13.26.40.png


As the question was in microns and the material in milli, I've converted to milli.

The above should read mm. Apologies for that.
 

Attachments

  • Screen Shot 2019-01-20 at 13.26.40.png
    Screen Shot 2019-01-20 at 13.26.40.png
    9.1 KB · Views: 669
You should keep units, otherwise it is difficult to catch conversion errors.
The denominator still has (omitted) meters everywhere, for example.
 
A bit tangential to the problem, but it can make googling for additional materials easier: this is an application of Stokes' law, common in measurement of dynamic viscosity (η in your equations).
 
  • Like
Likes   Reactions: Tom.G
Screen Shot 2019-01-23 at 21.43.00.png


Hiya all really appreciate the feedback, I've added some units to the equation. Does the above seem accurate ? Any obvious omissions ?
 

Attachments

  • Screen Shot 2019-01-23 at 21.43.00.png
    Screen Shot 2019-01-23 at 21.43.00.png
    9.2 KB · Views: 627
$$d = \sqrt{\frac{18_{0.00972}0.0050}{(3800-1632)9.81}}$$
I don't see any units there, the correct units would need conversion to cancel, and I don't understand why ##\eta## is written as subscript.

You can use LaTeX here in forum posts by the way, just put it in double # (inline) or double $ (separate line).
 
  • #10
mfb said:
and I don't understand why ##\eta## is written as subscript.

Perhaps because ##180.009720.0050## was unreadable (as apposed to ##18\times0.00972\times0.0050##)
 
  • #11
Apologies the subscript was an error when I read the original equation, it was actually to the base of that figure. I've corrected in the attached and included the relevant units within the equation.

Latex is something I will certainly need to learn.

Screen Shot 2019-01-24 at 20.55.27.png
 

Attachments

  • Screen Shot 2019-01-24 at 20.55.27.png
    Screen Shot 2019-01-24 at 20.55.27.png
    12.9 KB · Views: 857
  • #12
Tiberious said:
As the question was in microns
View attachment 237765
No, the question as posted is all in SI (MKS) units The values of the speeds merely happen to be in the micron/sec range. So there is no need to do any conversions.

In the attachment in post #11, each μ should be m.
And having obtained 0.0012 10-3m, what happened to the 10-3, and what happened to the s-1?

Edit: and what did you think of the 5cm diameter answer you got?
 
Last edited:
  • #13
haruspex said:
And having obtained 0.0012 10-3m, what happened to the 10-3, and what happened to the s-1?
And the m3 of the density, and the units of g and the viscosity. Out of 5 factors in the expression only the dimensionless 18 is without error.

@Tiberious: Get your units right. Physics does not work without units.
 
  • #14
@haruspex, larger than expected, I see my error converting at the start and will arrange the units accordingly in my answer. Appreciate the assistance.
 

Similar threads

  • · Replies 1 ·
Replies
1
Views
2K
  • · Replies 6 ·
Replies
6
Views
2K
Replies
15
Views
3K
Replies
2
Views
3K
  • · Replies 1 ·
Replies
1
Views
1K
  • · Replies 5 ·
Replies
5
Views
4K
  • · Replies 2 ·
Replies
2
Views
2K
  • · Replies 4 ·
Replies
4
Views
2K
  • · Replies 1 ·
Replies
1
Views
3K
  • · Replies 16 ·
Replies
16
Views
3K