Determining whether a set is a vector space

Click For Summary

Homework Help Overview

The discussion revolves around determining whether a specific set of arrays of real numbers, defined with particular operations for addition and scalar multiplication, qualifies as a vector space. Participants are examining the associative law of vector addition in this context.

Discussion Character

  • Conceptual clarification, Assumption checking

Approaches and Questions Raised

  • Some participants question the definition of matrix addition provided in the original problem, suggesting it may contain misprints. Others explore whether the operations defined align with the requirements for a vector space.

Discussion Status

There is an ongoing exploration of the implications of the non-standard definitions of addition and scalar multiplication. Some participants express agreement with the original poster's concerns about the associative property, while others suggest that the problem may be designed to test understanding of vector space axioms.

Contextual Notes

Participants note that the problem does not assume standard definitions for matrix operations, which may lead to confusion regarding the classification of the set as a vector space.

Valerie Witchy
Messages
3
Reaction score
0
Summary:: the set of arrays of real numbers (a11, a21, a12, a22), addition and scalar multiplication defined by ; determine whether the set is a vector space; associative law

Screen Shot 2020-04-07 at 8.38.13 PM.png


Question: determine whether the set is a vector space.

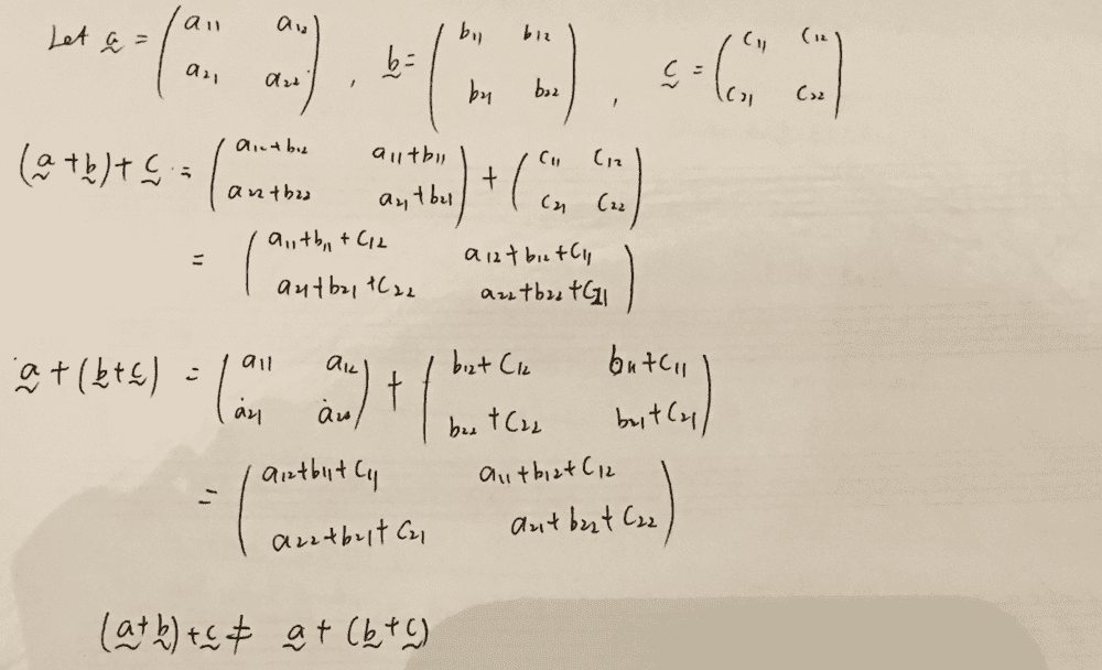
The answer in the solution books I found online says that the set is a vector space. However I do not think the set satisfies the associative law of vector addition:
Screen Shot 2020-04-07 at 9.07.57 PM.png


Can anyone tell me where did I go wrong?
 
Physics news on Phys.org
PeroK said:
Which book is this? There's a serious misprint in the definition of matrix addition.
Maybe this is the question: Is the addition defined in that way the addition of a vector spaces?
 
  • Like
Likes   Reactions: Marc Rindermann, archaic and member 587159
fresh_42 said:
Maybe this is the question: Is the addition defined in that way the addition of a vector spaces?
Yes, of course. But, that operation can't possibly be associative!
 
Valerie Witchy said:
Summary:: the set of arrays of real numbers (a11, a21, a12, a22), addition and scalar multiplication defined by ; determine whether the set is a vector space; associative law

View attachment 260167

Question: determine whether the set is a vector space.

The answer in the solution books I found online says that the set is a vector space. However I do not think the set satisfies the associative law of vector addition:
View attachment 260168

Can anyone tell me where did I go wrong?
It looks like you are right.

You just need to look at ##c_{11}##, say, If you do ##a + (b + c)##, then ##c_{11}## goes to the second column, then back to the first. If you do ##(a + b) + c##, then ##c_{11}## goes to to the second column. That addition operation cannot be associative.
 
  • Like
Likes   Reactions: FactChecker
Was the "solution" you looked up the solution to this specific question? That is, was the solution set written for this book? Matrices with the standard matrix addition and scalar multiplication do form a vector space but this is NOT "standard" matrix multiplication. It may be that this non-standard addition was given as an exercise to see if you are paying attention!
 
  • Like
Likes   Reactions: PeroK
HallsofIvy said:
Was the "solution" you looked up the solution to this specific question? That is, was the solution set written for this book? Matrices with the standard matrix addition and scalar multiplication do form a vector space but this is NOT "standard" matrix multiplication. It may be that this non-standard addition was given as an exercise to see if you are paying attention!
The OP was paying attention. It was me who wasn't paying attention!
 
  • Like
Likes   Reactions: epenguin
HallsofIvy said:
Was the "solution" you looked up the solution to this specific question? That is, was the solution set written for this book? Matrices with the standard matrix addition and scalar multiplication do form a vector space but this is NOT "standard" matrix multiplication. It may be that this non-standard addition was given as an exercise to see if you are paying attention!

It was the solution to this specific question. Matrix addition and scalar multiplication are defined as such in the question, ie. the question does not assume standard matrix addition and scalar multiplication. the question was, determine whether the set on which the matrix addition and scalar multiplication are defined as such is a vector space.
 
  • #10
PeroK said:
It looks like you are right.

You just need to look at ##c_{11}##, say, If you do ##a + (b + c)##, then ##c_{11}## goes to the second column, then back to the first. If you do ##(a + b) + c##, then ##c_{11}## goes to to the second column. That addition operation cannot be associative.
Thank you very much!
 
  • #11
PeroK said:
Which book is this? There's a serious misprint in the definition of matrix addition. Addition is simply element by element, as you would expect. You certainly don't start mixing up the elements.
You are misreading the problem. It doesn't say anything about matrices! It talks about the set of arrays with the given definition if addition.
 
  • #12
HallsofIvy said:
You are misreading the problem. It doesn't say anything about matrices! It talks about the set of arrays with the given definition if addition.
Tomayto, tomahto. The image attached in post #1 shows a 2 X 2 array of numbers -- a matrix. It just so happens that the set involved includes matrices as described, but with the operations of matrix addition and multiplication by a scalar defined in ways different from the usual.
 
  • #13
No, a "two by two array of numbers" is just that, it is NOT by itself a "matrix". A matrix is a an array of numbers together with a standard definition for multiplying and adding those arrays. Here we are given a two by two array of numbers with a definition of "multiplication" that is different from that standard definition.
 
  • #14
HallsofIvy said:
No, a "two by two array of numbers" is just that, it is NOT by itself a "matrix".
Here is the Wikipedia definition (https://en.wikipedia.org/wiki/Matrix_(mathematics):
A matrix is a rectangular array of numbers or other mathematical objects for which operations such as addition and multiplication are defined.
Note that all lit doesn't mention how the two operations must be defined.
HallsofIvy said:
A matrix is a an array of numbers together with a standard definition for multiplying and adding those arrays.
The definition I showed does not include the word "standard."
HallsofIvy said:
Here we are given a two by two array of numbers with a definition of "multiplication" that is different from that standard definition.
For a set of matrices (= rectangular arrays of numbers) to be a vector space, the operations of matrix addition and scalar multiplication have to satisfy the usual list of vector space axioms. The addition and scalar multiplication operations don't have to be the usual ones.
 
  • #15
As much as I hate to- I will have to agree with you! But I will still disagree with Perok, to whom I was originally responding, when he said that the given definition of matrix addition was "wrong"!
 
  • #16
HallsofIvy said:
As much as I hate to- I will have to agree with you! But I will still disagree with Perok, to whom I was originally responding, when he said that the given definition of matrix addition was "wrong"!
Yes on PeroK. He was assuming that the matrices had the usual definitions for addition and scalar multiplication, and that there were typos in the problem statement. Problems like the one in this thread are pretty standard in lin. alg. textbooks, where you have a set of matrices with unusual definitions for the two operations, and the student is asked to decide whether the set of matrices plus the two operations constitute a vector space. I'm sure you know this.
 

Similar threads

  • · Replies 6 ·
Replies
6
Views
4K
Replies
8
Views
2K
  • · Replies 18 ·
Replies
18
Views
4K
  • · Replies 0 ·
Replies
0
Views
9K
  • · Replies 4 ·
Replies
4
Views
4K
  • · Replies 3 ·
Replies
3
Views
3K
  • · Replies 2 ·
Replies
2
Views
5K
  • · Replies 15 ·
Replies
15
Views
5K
  • · Replies 7 ·
Replies
7
Views
3K
  • · Replies 5 ·
Replies
5
Views
2K