Differential equation for changing mass of a sphere

Click For Summary

Discussion Overview

The discussion centers on deriving a differential equation for the mass of a sphere whose density varies with radius and whose radius changes over time. Participants explore the implications of these changes on the mass and how to express this relationship mathematically.

Discussion Character

  • Technical explanation
  • Mathematical reasoning
  • Debate/contested

Main Points Raised

  • One participant presents the mass of a sphere as an integral dependent on radius and density, seeking to express the rate of change of mass with respect to time.
  • Another participant corrects the notation used in the integral, suggesting the use of a different variable for integration.
  • A participant confirms the use of the chain rule to relate the change in mass to the change in radius.
  • One participant proposes a specific expression for the rate of change of mass, questioning whether it holds if density is also a function of time.
  • Another participant suggests that a term involving the partial derivative of density with respect to time is necessary in the equation when density is time-dependent.
  • A later reply introduces a general formula for differentiating integrals with variable limits and integrands, implying a more complex relationship when both the limits and the integrand depend on time.
  • One participant emphasizes the importance of distinguishing between dummy variables in the integrand and the limits of integration, providing a refined expression for the rate of change of mass.
  • Another participant clarifies that the chain rule remains applicable even when dealing with integrals that have variable limits and integrands.

Areas of Agreement / Disagreement

Participants express differing views on the correct formulation of the differential equation, particularly regarding the inclusion of additional terms when density is time-dependent. There is no consensus on the final expression for the rate of change of mass.

Contextual Notes

Participants note the complexity introduced when density varies with time, leading to additional terms in the differential equation. The discussion reflects various interpretations of the mathematical relationships involved.

Hypatio
Messages
147
Reaction score
1
The mass of a sphere with density as a function of radius is



[itex]M=4\pi \int_0^r\rho(r) r^2dr[/itex]

Lets say the radius increases and decreases as a function of time t. So:

[itex]M(t)=4\pi \int_{0}^{r(t)}\rho (r) r(t)^2dr[/itex]

I want to know the basic equation describing the mass added or removed from the sphere (mass increases when radius increases, mass decreases when radius decreases) as a function of t, starting from any t. The problem is I think I must use a differential form but I'm not sure what it looks like. What then is the differential form of dM(t)/dt? I think I must use a chain rule and write:

[itex]\frac{dM}{dt}=\frac{dM}{dr}\frac{dr}{dt}[/itex]

is this right? How do I proceed to solve this with the integral?
 
Physics news on Phys.org
Hypatio said:
The mass of a sphere with density as a function of radius is
[itex]M=4\pi \int_0^r\rho(r) r^2dr[/itex]
Lets say the radius increases and decreases as a function of time t. So:
[itex]M(t)=4\pi \int_{0}^{r(t)}\rho (r) r(t)^2dr[/itex]

Hi !
I am afraid that there is something wrong in your writting. It should be :
[itex]M=4\pi \int_0^r\rho(u) u^2du[/itex]
Lets say the radius increases and decreases as a function of time t. So:
[itex]M(t)=4\pi \int_{0}^{r(t)}\rho (u) u^2du[/itex]
You may use any other symbol than u, but not r.
 
Ah yes, sure, the upper limit is the 'full' radius (r) and u is a radius. This doesn't solve my problem though.
 
Yes, the chain rule: [itex]\dfrac{dM}{dt}= \dfrac{dM}{dr}\dfrac{dr}{dt}[/itex]
JJaquelines point helps make sense of the dM/dr.

To find [itex]\dfrac{dM}{dt}[/itex] use the "fundamental theorem of Calculus":
[tex]\frac{d}{dr}\int_0^r \rho(u)u^2 du= \rho(r)r^2[/tex]
 
I guess the solution then is

[itex]\frac{dM}{dt}=\frac{4}{3}\pi \rho(r)r^3\frac{dr}{dt}[/itex]

does the solution change if [itex]\rho(r)[/itex] becomes [itex]\rho(r,t)[/itex] or could I write

[itex]\frac{dM}{dt}=\frac{4}{3}\pi \rho(r,t)r^3\frac{dr}{dt}[/itex]

Thanks.
 
Last edited:
I don't think so. A term involving the partial derivatine of rho relatively to t is missing into your last equation,
 
Is there a rule I can apply to get this additional term?
 
Hypatio said:
Is there a rule I can apply to get this additional term?

If you have
[tex] F(t) = \int_0^{a(t)} g(r,t)\,\mathrm{d}r[/tex]
then
[tex]F'(t) = \int_0^{a(t)} \left.\frac{\partial g}{\partial t}\right|_{(r,t)}\,\mathrm{d}r + a'(t)g(a(t),t)[/tex]
assuming [itex]g[/itex] is sufficiently smooth.
 
Please do not mix together dummy variables in the integrand with integral limits.
Properly speaking, you have the following the relation:
[tex]M(t)=4\pi\int_{0}^{r(t)}\rho(x)x^{2}dx[/tex]
Thus, you have:
[tex]\frac{dM}{dt}=4\pi\rho(r(t))r(t)^{2}\frac{dr}{dt}[/tex]
which has as interpretation that only the outermost spherical shell at r(t) determines the total change of mass.

Every compact ball strictly contained within the outermost shell (radii less than r(t)) remains constant in mass.

However:
Suppose you have a ball where at different times, the density at some fixed radius "x" may change as a function of time. Then, you have:
[tex]M(t)=4\pi\int_{0}^{r(t)}\rho(x,t)x^{2}dx[/tex]
In this case, the total mass of the ball will be due to two distinct effects:
1. The ball shrinks or expands. This gives the contribution given above.
2. The interior of the ball may change its mass. This effect is new.

In sum, you'll then get:
[tex]\frac{dM}{dt}=4\pi\rho(r(t),t)r(t)^{2}\frac{dr}{dt}+4\pi\int_{0}^{r(t)}\frac{\partial\rho}{\partial{t}}x^{2}dx[/tex]
 
Last edited:
  • Like
Likes   Reactions: 1 person
  • #10
Hypatio said:
Is there a rule I can apply to get this additional term?
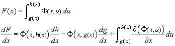
The general formula below shows the rule for derivation :
 

Attachments

  • Derivation rule.JPG
    Derivation rule.JPG
    6 KB · Views: 515
  • Like
Likes   Reactions: 1 person
  • #11
Hypatio said:
So the chain rule no longer applies??
Of course, the chain rule continues to applies !
The formula given above is the application of the chain rule in case of an integral with the integrand and limits which are functions of the variable considered for derivation.
 

Similar threads

  • · Replies 16 ·
Replies
16
Views
4K
  • · Replies 33 ·
2
Replies
33
Views
4K
  • · Replies 2 ·
Replies
2
Views
2K
Replies
17
Views
2K
  • · Replies 4 ·
Replies
4
Views
2K
  • · Replies 27 ·
Replies
27
Views
2K
  • · Replies 2 ·
Replies
2
Views
4K
  • · Replies 11 ·
Replies
11
Views
3K
  • · Replies 17 ·
Replies
17
Views
3K
  • · Replies 1 ·
Replies
1
Views
3K