The Chain Rule in n Dimensions .... Browder Theorem 8.15 - Another Question ....

Click For Summary
SUMMARY

This discussion focuses on understanding the proof of Theorem 8.15 from Andrew Browder's "Mathematical Analysis: An Introduction," specifically in Chapter 8, Section 8.2 on Differentiable Maps. The key equation under scrutiny is $$(g \circ f) (p + h) - (g \circ f) (p) = g(q + k) - g(q)$$, where $f: U \to V$ and $g: V \to W$ are differentiable maps. Participants clarify that the proof involves substituting definitions of the maps and applying the chain rule for differentiable functions, ultimately demonstrating the equality through the properties of differentials.

PREREQUISITES
  • Understanding of differentiable maps in multivariable calculus
  • Familiarity with the chain rule for differentiation
  • Knowledge of the concept of differentials in mathematical analysis
  • Basic notation and operations in real analysis, particularly in $\mathbb{R}^n$
NEXT STEPS
  • Study the application of the chain rule in multivariable calculus
  • Explore the properties of differentials in the context of differentiable functions
  • Review the definitions and examples of composition of functions in analysis
  • Investigate further into Browder's "Mathematical Analysis: An Introduction" for additional context on differentiable maps
USEFUL FOR

Students and professionals in mathematics, particularly those studying real analysis, multivariable calculus, or anyone seeking to deepen their understanding of differentiable maps and the chain rule in higher dimensions.

Math Amateur
Gold Member
MHB
Messages
3,920
Reaction score
48
I am reading Andrew Browder's book: "Mathematical Analysis: An Introduction" ... ...

I am currently reading Chapter 8: Differentiable Maps and am specifically focused on Section 8.2 Differentials ... ...

I need some further help in order to fully understand the proof of Theorem 8.15 ...

Theorem 8.15 and its proof read as follows:
View attachment 9416
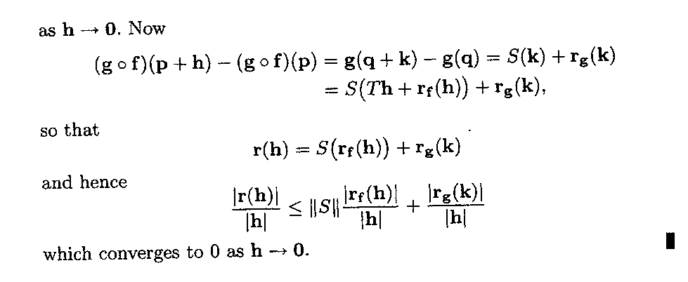
View attachment 9417In the above proof by Browder we read the following:" ... ... Now

$$(g \circ f) (p + h) - (g \circ h) (p) = g(q + k) - g(q)$$ ... ... "

Can someone please show how/why $$(g \circ f) (p + h) - (g \circ h) (p) = g(q + k) - g(q)$$ ... ...

Help will be appreciated ...

Peter
 

Attachments

  • Browder - 1 - Theorem 8.15 ... PART 1 ... ....png
    Browder - 1 - Theorem 8.15 ... PART 1 ... ....png
    16.9 KB · Views: 151
  • Browder - 2 - Theorem 8.15 ... PART 2  ... .....png
    Browder - 2 - Theorem 8.15 ... PART 2 ... .....png
    4.6 KB · Views: 189
Physics news on Phys.org
Peter said:
I am reading Andrew Browder's book: "Mathematical Analysis: An Introduction" ... ...

I am currently reading Chapter 8: Differentiable Maps and am specifically focused on Section 8.2 Differentials ... ...

I need some further help in order to fully understand the proof of Theorem 8.15 ...

Theorem 8.15 and its proof read as follows:

In the above proof by Browder we read the following:" ... ... Now

$$(g \circ f) (p + h) - (g \circ h) (p) = g(q + k) - g(q)$$ ... ... "

Can someone please show how/why $$(g \circ f) (p + h) - (g \circ h) (p) = g(q + k) - g(q)$$ ... ...

Help will be appreciated ...

Peter
It now appears to me that the answer to my question is quite straightforward ...

We have ...$$(g \circ f) (p + h) - (g \circ h) (p) = g(q + k) - g(q)$$

$$= g[ f(p + h) ] - g[f(p)]$$ ...

But ... we have that ...

$$k = f(p+h) - f(p)$$

so that

$$f(p+h) = k + f(p) = q + k$$

Therefore

$$g[ f(p + h) ] - g[f(p)] = g(q + k ) - g(q)$$ ...Don't know why I didn't see it ...

Peter
 
Hi Peter,

I'm also currently working through Chapter 8 of Browder's book and I can help clarify the proof of Theorem 8.15 for you.

First, let's define some notation. We have two maps, f : U \to V and g : V \to W, where U, V, and W are open sets in \mathbb{R}^n. Let p \in U and q = f(p) \in V. We also have a small vector h \in \mathbb{R}^n such that p + h \in U and q + k = f(p + h) \in V.

Now, the goal is to show that (g \circ f) (p + h) - (g \circ f) (p) = g(q + k) - g(q).

Using the definition of composition of maps, we can rewrite (g \circ f) (p + h) as g(f(p + h)) and (g \circ f) (p) as g(f(p)). Substituting our definitions of q and k, we get g(q + k) and g(q).

Next, we can use the definition of the differential of a map to rewrite g(f(p + h)) - g(f(p)) as Dg(q + k) \cdot Df(p + h) - Dg(q) \cdot Df(p).

Now, using the chain rule for differentiable maps, we can rewrite Dg(q + k) \cdot Df(p + h) as D(g \circ f) (p + h) and Dg(q) \cdot Df(p) as D(g \circ f) (p).

Therefore, we have shown that (g \circ f) (p + h) - (g \circ f) (p) = D(g \circ f) (p + h) - D(g \circ f) (p).

Finally, using the definition of the differential of a map again, we can rewrite D(g \circ f) (p + h) - D(g \circ f) (p) as D(g \circ f) (p + h - p).

Since h is a small vector, p + h - p is also a small vector and thus we can use the definition of the differential once more to rewrite D(g \circ f) (p
 

Similar threads

  • · Replies 2 ·
Replies
2
Views
2K
Replies
2
Views
2K
Replies
2
Views
2K
Replies
2
Views
2K
  • · Replies 4 ·
Replies
4
Views
2K
  • · Replies 2 ·
Replies
2
Views
2K
  • · Replies 6 ·
Replies
6
Views
3K
Replies
7
Views
2K
Replies
2
Views
2K
Replies
2
Views
2K