Dipole vector associated with charges

Click For Summary

Homework Help Overview

The discussion revolves around understanding the dipole vector associated with two charges, specifically in the context of a problem presented in a homework assignment. Participants are exploring the nature of the dipole moment and its relation to electric fields, as well as clarifying the distinctions between dipole moments and electric fields.

Discussion Character

  • Conceptual clarification, Assumption checking, Mixed

Approaches and Questions Raised

  • Some participants question the clarity of what part B of the problem is asking, particularly regarding the dipole vector and its relationship to the electric field at point P. Others suggest that the dipole formulas may not be applicable at close range and propose using vectors and the inverse square law instead.

Discussion Status

Participants are actively discussing the definitions and implications of the dipole moment, with some expressing confusion about the relationship between the dipole vector and the electric field. There is recognition that parts of the problem may be misleading, and guidance has been offered regarding the interpretation of the dipole moment in relation to the charges involved.

Contextual Notes

There is an ongoing discussion about the assumptions underlying the problem, particularly regarding the applicability of dipole formulas at different distances and the specific wording of the questions in parts B and C. Some participants note that the problem does not explicitly mention point P in relation to the dipole vector.

cookiemnstr510510
Messages
162
Reaction score
14

Homework Statement


Problem attached in Dipole.Jpg

Homework Equations


The Attempt at a Solution


I am fine with Part A of the problem. I am just trying to understand what part B is asking. Are they asking what is the magnitude and direction of the dipole vector associated with charges q1 and q1 at point P? It is not clear to me. If so they would be asking about the dipole vector associated with the plane that bisects the dipole so I would use E(dipole)=-(1/4pi episolonnot) P/r^3? P is dipole moment
So really I would use -kqs/r^3 where s is distance between charges.
I can't imagine what else the problem is asking.
Another question would be is the q in the above equation the sum of q1 and q2?
Any help would be much appreciated!
Thanks in advanced!
 

Attachments

  • Dipole.jpg
    Dipole.jpg
    27.8 KB · Views: 357
Physics news on Phys.org
I would avoid trying to solve this one with dipole formulas. The dipole formulas work for ## r>>d ##. I don't know that they work at close range. The simplest way to solve it is just to use vectors and the inverse square law.
 
  • Like
Likes   Reactions: cookiemnstr510510
They are asking for the dipole moment associated with the two charges. The dipole moment relative to a point is given by summing the charge multiplied by the position vector over all charges. For an overall neutral charge configuration, this does not depend on the point. The dipole moment is not the electric field.

Charles Link said:
I would avoid trying to solve this one with dipole formulas. The dipole formulas work for ## r>>d ##. I don't know that they work at close range. The simplest way to solve it is just to use vectors and the inverse square law.
You cannot solve B without using an expression for the dipole moment since the problem asks you to find the dipole moment. This part of the problem has nothing to do with the part of finding the field at p.
 
  • Like
Likes   Reactions: cookiemnstr510510
I was looking ahead to (d) which the OP seems to be referring to, by mentioning an electric field proportional to ## \frac{1}{r^3} ##. ## \\ ## (b) amd (c) are relatively simple, and I think it is misleading the student to try to get them to use these results to solve (d) in this problem.
 
  • Like
Likes   Reactions: cookiemnstr510510
The OP is asking about part B, not part D.

cookiemnstr510510 said:
Im just trying to understand what part B is asking.

The issue is understanding that the dipole moment is not the electric field, but what I described in #3.
 
  • Like
Likes   Reactions: cookiemnstr510510
cookiemnstr510510 said:

Homework Statement


Problem attached in Dipole.Jpg
dipole-jpg.jpg

Homework Equations



The Attempt at a Solution


I am fine with Part A of the problem. I am just trying to understand what part B is asking. Are they asking what is the magnitude and direction of the dipole vector associated with charges q1 and q1 at point P? It is not clear to me. If so they would be asking about the dipole vector associated with the plane that bisects the dipole so I would use E(dipole)=-(1/4pi episolonnot) P/r^3? P is dipole moment
So really I would use -kqs/r^3 where s is distance between charges.
I can't imagine what else the problem is asking.
Another question would be is the q in the above equation the sum of q1 and q2?
Any help would be much appreciated!
Thanks in advanced!
Part (b) asks a question about a dipole vector but says nothing about "at point P".
Part (c) also asks a question about a dipole vector..

Answer Parts (a) and (d) using Coulomb's Law, for electric field. These parts have nothing to do with dipoles.
 

Attachments

  • dipole-jpg.jpg
    dipole-jpg.jpg
    27.8 KB · Views: 605
  • Like
Likes   Reactions: cookiemnstr510510 and Charles Link
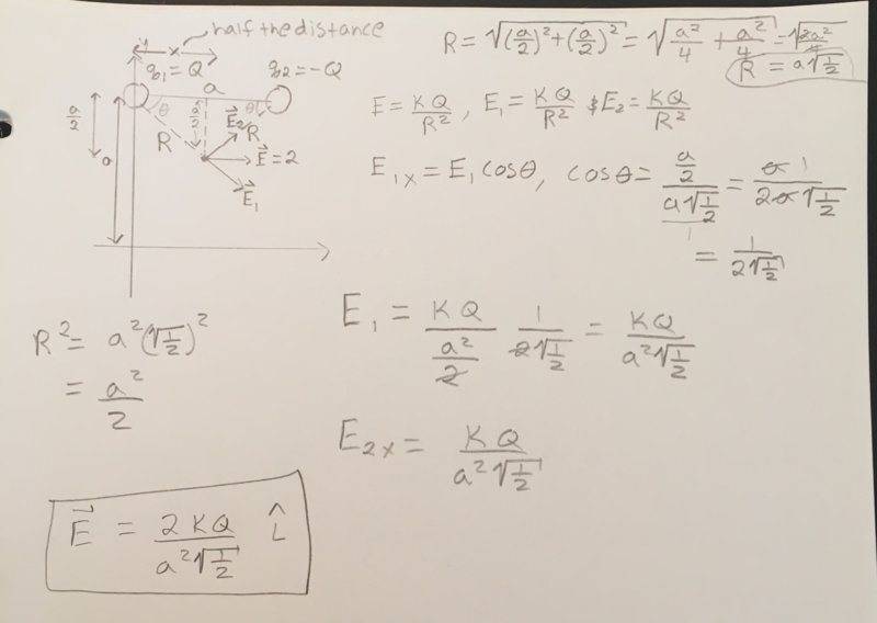
Hmmm. I assume the dipole vector that is associated with the two charges in question (q1 &q2), will create an electric field at point P? I've attached my logic "dipole problem.JPG"
 

Attachments

  • Dipole problem.JPG
    Dipole problem.JPG
    28.7 KB · Views: 374
Charles Link said:
I was looking ahead to (d) which the OP seems to be referring to, by mentioning an electric field proportional to ## \frac{1}{r^3} ##. ## \\ ## (b) amd (c) are relatively simple, and I think it is misleading the student to try to get them to use these results to solve (d) in this problem.
Yes I believe I was mixing equations up from the book, my notes, and my head. I will look at D now and see if I can make sense of that one. Thanks!
 
  • #10
A detailed analysis of the dipole formulas show that they are intended for distances ## r>>d ## and will not work at close range. In this sense, in this combination of 4 questions, (b) and (c) are really unrelated and are misleading you. The results in (b) and (c) can not be used to solve part (d).
 
  • Like
Likes   Reactions: cookiemnstr510510
  • #11
SammyS said:
View attachment 230535

Part (b) asks a question about a dipole vector but says nothing about "at point P".
Part (c) also asks a question about a dipole vector..

Answer Parts (a) and (d) using Coulomb's Law, for electric field. These parts have nothing to do with dipoles.
Ahh, okay. I guess that's true. So
cookiemnstr510510 said:
Hmmm. I assume the dipole vector that is associated with the two charges in question (q1 &q2), will create an electric field at point P? I've attached my logic "dipole problem.JPG"
Okay, Just read some responses. So this is not correct then. Ill go back and read on what Dipole Vector means.
 
  • #12
  • Like
Likes   Reactions: cookiemnstr510510
  • #13
Charles Link said:
For the OP: All they are asking for in parts (b) and (c) is at the top part of this "link": http://hyperphysics.phy-astr.gsu.edu/hbase/electric/dipole.html
Thanks for the link. Is it true that the statement " what is the magnitude and and direction of the dipole vector" is referring to the dipole moment? and If so it would be
P=Qa(-i) ?
 
  • Like
Likes   Reactions: Charles Link
  • #14
  • #15
To give you a quick introduction to it, the ## \frac{1}{r^3} ## behavior of electric and magnetic dipoles is actually very useful in analyzing some rather advanced E&M (electricity and magnetism) problems, and is used in the computation of the electric and/or magnetic fields at a distance from what are microscopic dipoles (with very small ## d ##). ## \\ ## In this problem, they are teaching you in parts (b) and (c) a couple of simple definitions, but nothing more than that. The ## \frac{1}{r^3} ## formulas do not apply at very close range=they do not give a correct result.
 
  • #16
cookiemnstr510510 said:
Thanks for the link. Is it true that the statement " what is the magnitude and and direction of the dipole vector" is referring to the dipole moment? and If so it would be
P=Qa(-i) ?
For part (b): Yes .
 
  • Like
Likes   Reactions: cookiemnstr510510
  • #17
SammyS said:
For part (b): Yes .
Okay, therefore part C would be:
P=2Qa(i)
 
  • Like
Likes   Reactions: Charles Link
  • #18
cookiemnstr510510 said:
Okay, therefore part C would be:
P=2Qa(i)
Yes.
 
  • Like
Likes   Reactions: cookiemnstr510510 and Charles Link
  • #19
Thanks everyone! appreciate the help :)
 
  • Like
Likes   Reactions: Charles Link

Similar threads

  • · Replies 10 ·
Replies
10
Views
1K
  • · Replies 12 ·
Replies
12
Views
1K
Replies
7
Views
2K
  • · Replies 11 ·
Replies
11
Views
2K
Replies
4
Views
2K
Replies
1
Views
3K
  • · Replies 17 ·
Replies
17
Views
3K
Replies
1
Views
3K
  • · Replies 4 ·
Replies
4
Views
3K