Direction of E field and propagation of wave in a conductor

Click For Summary

Discussion Overview

The discussion revolves around the behavior of electric fields and wave propagation in conductors, particularly focusing on the concept of skin depth and how it affects the direction of the electric field and current flow. Participants explore theoretical interpretations and implications of these concepts in cylindrical conductors.

Discussion Character

  • Exploratory
  • Technical explanation
  • Debate/contested
  • Conceptual clarification

Main Points Raised

  • Some participants propose that the electric field strength reduces as it propagates through a conductor, reaching 1/e of its initial value at the skin depth.
  • There is a suggestion that the direction of the wave may be perpendicular to the length of the conductor, while the electric field is aligned along the length.
  • Others argue that if the electric field propagates along the length of the conductor, it raises questions about the ability of the electric field to sustain current beyond the skin depth.
  • A distinction is made between the case of an external electromagnetic wave interacting with the conductor and a scenario where a voltage source creates a current along the conductor's axis.
  • Some participants discuss the modes of wave propagation along a wire, including the TEM mode and single-wire mode, and how these relate to surface waves and energy flow.
  • Concerns are raised about the implications of assuming electron flow through the inner core of the conductor, questioning the presence of the electric field inside the conductor.
  • There is acknowledgment of the skin effect and its relation to eddy currents, which reduces current in the core of the conductor.

Areas of Agreement / Disagreement

Participants express multiple competing views regarding the direction of the electric field and the implications of skin depth on current flow. The discussion remains unresolved, with no consensus reached on the interpretations presented.

Contextual Notes

Participants highlight the dependence of their arguments on specific scenarios, such as the orientation of the conductor and the nature of the applied electric field. There are unresolved assumptions regarding the behavior of electric fields within the conductor and the effects of inductive reactance.

iVenky
Messages
212
Reaction score
12
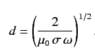
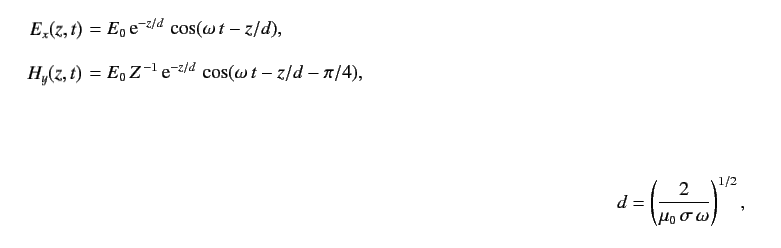
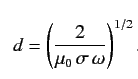
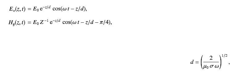
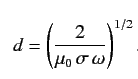
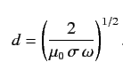
We know that skin depth in a conductor is found using the following expression,
upload_2018-12-23_19-1-20.png

upload_2018-12-23_19-1-31.png

(Credits: http://farside.ph.utexas.edu/teaching/315/Waves/node65.html)

Basically, as the wave propagates in a conductor, it's electric field strength reduces and reaches 1/e of it's initial value at the skin depth distance.
I was initially thinking that the direction of wave is along the length of the conductor (shown below), but that would mean the wave attenuates along the length of the conductor and not inwards towards the center of the conductor.
upload_2018-12-23_19-7-29.png

Then, I realized if the wave direction is actually perpendicular to the length of the conductor (shown below), then it makes sense. So the E field is actually along the length of the conductor. Is this correct way of interpreting this?
upload_2018-12-23_19-5-6.png

Given that Electric field resides on the surface for a conductor, it makes perfect sense that current only travels on the surface, as the E field attenuates from the top.
 

Attachments

  • upload_2018-12-23_19-1-2.png
    upload_2018-12-23_19-1-2.png
    2.8 KB · Views: 505
  • upload_2018-12-23_19-1-20.png
    upload_2018-12-23_19-1-20.png
    1.1 KB · Views: 844
  • upload_2018-12-23_19-1-31.png
    upload_2018-12-23_19-1-31.png
    679 bytes · Views: 877
  • upload_2018-12-23_19-4-57.png
    upload_2018-12-23_19-4-57.png
    679 bytes · Views: 457
  • upload_2018-12-23_19-5-6.png
    upload_2018-12-23_19-5-6.png
    3.4 KB · Views: 664
  • upload_2018-12-23_19-7-29.png
    upload_2018-12-23_19-7-29.png
    2.3 KB · Views: 685
  • Like
Likes   Reactions: Delta2
Physics news on Phys.org
Both cases make sense from a theoretical point of view.

It is just that if we have a cylindrical conductor that its length is long compared to its radius, it is more likely that it will be oriented in space in such a way that case in second scheme is the one that happens.
 
Last edited:
Delta2 said:
Both cases make sense from a theoretical point of view.

It is just that if we have a cylindrical conductor that its length is long compared to its radius, it is more likely that it will be oriented in space in such a way that case in second scheme is the one that happens.

But wouldn't case 1 mean that E field can't propagate through the length of the cable at all after distance=skin depth? That means you can never have electric current through a wire, which doesn't make sense..What's that I am missing here?
 
iVenky said:
But wouldn't case 1 mean that E field can't propagate through the length of the cable at all after distance=skin depth? That means you can never have electric current through a wire, which doesn't make sense..What's that I am missing here?

I thought we were talking about the case of an external EM-wave as it meets the surface of a cylindrical conductor.

You are talking about the case where we have a voltage (or current source) that creates a current through the axis of the cylindrical conductor. This case is different. I think the voltage source forces some sort of longitudinal EM-wave along the axis of the cylindrical conductor. The skin depth now applies in direction perpendicular to the direction of this longitudinal EM wave, that is in the radial direction of the cylindrical conductor.

EDIT: Maybe my explanation is not satisfactory. I ll just mention @CWatters and @Charles Link and maybe they can explain better.
 
  • Like
Likes   Reactions: iVenky
If electrons are moving back and forth longitudinally on the surface of the conductor, then they will radiate waves at right angles to the wire, both outward going and also into the wire.
Of course, the bulk of our energy flows along the wire, and is not radiated. There are two modes by which a wave travels along a wire: the TEM mode, where the electric field links to a neighbouring conductor, and the single-wire mode, where the electric field links to positions half a wavelength along the same wire.This mode is more common than is generally supposed, and results in a surface wave traveling along the surface of the wire, with another small wave propagating into the wire to satisfy the losses, as you have described.
 
Thanks. Your statement that
tech99 said:
If electrons are moving back and forth longitudinally on the surface of the conductor, then they will radiate waves at right angles to the wire, both outward going and also into the wire.

is the one that results in E field along the length of the cable, right? What confusing me now if I assume flow of electrons through the inner core of the conductor (than outer surface), then we would still have E field inside, as it dissipates towards the border like shown below,
upload_2018-12-24_11-45-39.png

What's the flaw in this logic.
 

Attachments

  • upload_2018-12-24_11-45-39.png
    upload_2018-12-24_11-45-39.png
    6.6 KB · Views: 863
Last edited:
iVenky said:
Thanks. Your statement thatis the one that results in E field along the length of the cable, right? What confusing me now if I assume flow of electrons through the inner core of the conductor (than outer surface), then we would still have E field inside, as it dissipates towards the border like shown below,
View attachment 236310
What's the flaw in this logic.
E-field along the conductor: I had in mind the applied driving E-field. When the electrons accelerate in response to this, they radiate at right angles.
Regarding the current flowing near the surface, the traditional explanation is that electrons in the centre of the wire are surrounded by more magnetic flux lines, so experience more inductive reactance opposing their flow.
 
tech99 said:
E-field along the conductor: I had in mind the applied driving E-field. When the electrons accelerate in response to this, they radiate at right angles.
Regarding the current flowing near the surface, the traditional explanation is that electrons in the centre of the wire are surrounded by more magnetic flux lines, so experience more inductive reactance opposing their flow.
Exactly, now I understand, yes I do agree with the skin effect behavior due to eddy currents that reduces the current in the core. Thanks a lot
 

Similar threads

  • · Replies 4 ·
Replies
4
Views
3K
  • · Replies 3 ·
Replies
3
Views
2K
  • · Replies 3 ·
Replies
3
Views
2K
  • · Replies 6 ·
Replies
6
Views
2K
  • · Replies 9 ·
Replies
9
Views
3K
  • · Replies 9 ·
Replies
9
Views
4K
  • · Replies 14 ·
Replies
14
Views
3K
  • · Replies 18 ·
Replies
18
Views
3K
  • · Replies 21 ·
Replies
21
Views
4K
  • · Replies 1 ·
Replies
1
Views
2K