Discover the Real Part of i*sin(∏/4 + i)

  • Thread starter Thread starter MissP.25_5
  • Start date Start date
Click For Summary

Homework Help Overview

The discussion revolves around finding the real part of the expression i*sin(∏/4 + i), which involves complex numbers and trigonometric identities.

Discussion Character

  • Mixed

Approaches and Questions Raised

  • Participants explore the use of Euler's formula and its implications for sine and cosine in complex analysis. There are questions about the necessity of using trigonometric identities versus exponential forms.

Discussion Status

Several participants have provided guidance on using exponential forms to simplify the problem. There is an ongoing exploration of how to apply these concepts effectively, with some participants expressing confusion about the steps involved.

Contextual Notes

Participants are navigating through the complexities of the problem, including the handling of imaginary numbers and the application of specific formulas. There is a mention of potential constraints from homework guidelines, though these are not explicitly detailed.

MissP.25_5
Messages
329
Reaction score
0
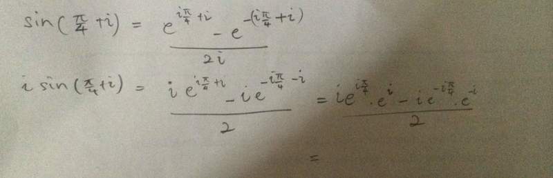
Hello, everyone.

Can some help me finish this solution? I am stuck. The questions is to find the real part of
i*sin(∏/4 + i).
 

Attachments

  • IMG_6385.jpg
    IMG_6385.jpg
    13.8 KB · Views: 457
Physics news on Phys.org
MissP.25_5 said:
Hello, everyone.

Can some help me finish this solution? I am stuck. The questions is to find the real part of
i*sin(∏/4 + i).

Use ##e^{i\theta} = \cos \theta + i\sin\theta## and its conjugate with ##\theta = i##.
 
LCKurtz said:
Use ##e^{i\theta} = \cos \theta + i\sin\theta## and its conjugate with ##\theta = i##.

Which part should I use that? I don't get it.
 
Solve the Euler equations for ##e^{i\theta}## and ##e^{-i\theta}## for the sine and cosine in terms of the exponentials. Surely your book has those formulas.
 
LCKurtz said:
Solve the Euler equations for ##e^{i\theta}## and ##e^{-i\theta}## for the sine and cosine in terms of the exponentials. Surely your book has those formulas.

Does that mean I didn't have to use the trig identity?
 
You just need ##\sin i## and ##\cos i## to finish, don't you? You can get them from the above formulas.
 
LCKurtz said:
You just need ##\sin i## and ##\cos i## to finish, don't you? You can get them from the above formulas.

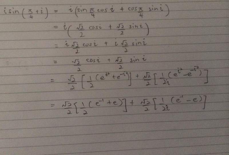
Err...you mean like this? But it gets complicated.
 

Attachments

  • IMG_6386.jpg
    IMG_6386.jpg
    31.1 KB · Views: 418
LCKurtz said:
You just need ##\sin i## and ##\cos i## to finish, don't you? You can get them from the above formulas.

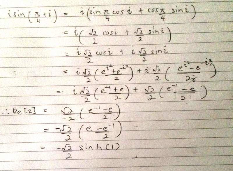
Wait, I think I got it. Hold on, let me try and solve it and I will show it you.
 
LCKurtz said:
You just need ##\sin i## and ##\cos i## to finish, don't you? You can get them from the above formulas.

Is this correct?
 

Attachments

  • IMG_6387.jpg
    IMG_6387.jpg
    64.7 KB · Views: 465
  • #10
That looks correct. Notice that you could have substituted the exponentials for ##\sin(\frac \pi 4 + i)## directly, avoiding using the addition formulas.
 
  • #11
LCKurtz said:
That looks correct. Notice that you could have substituted the exponentials for ##\sin(\frac \pi 4 + i)## directly, avoiding using the addition formulas.

How to substitute the exponentials for ##\sin(\frac \pi 4 + i)## directly?
 
  • #12
##\sin \theta = \frac {e^{i\theta}-e^{-i\theta}}{2i}##, the same formula you used before.
 
  • #13
LCKurtz said:
##\sin \theta = \frac {e^{i\theta}-e^{-i\theta}}{2i}##, the same formula you used before.

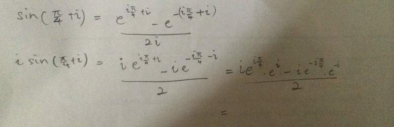
You mean like this? But then how do I finish it? Looks complicated there.
 

Attachments

  • IMG_6388.jpg
    IMG_6388.jpg
    15.6 KB · Views: 457
  • #14
MissP.25_5 said:
You mean like this? But then how do I finish it? Looks complicated there.
attachment.php?attachmentid=70243&d=1401677421.jpg


What happened to ##\ i\ ## in the denominator?

Do you know what ##\ e^{i\pi/4}\ ## is ?
 
  • #15
SammyS said:
attachment.php?attachmentid=70243&d=1401677421.jpg


What happened to ##\ i\ ## in the denominator?

Do you know what ##\ e^{i\pi/4}\ ## is ?

I forgot to write the i.
##\ e^{i\pi/4}\ is equals to cos∏/4 + isin∏/4, right? And that makes it equals to 1/√2 + i/√2, right?
 
  • #16
MissP.25_5 said:
I forgot to write the i.
##\ e^{i\pi/4}\ is equals to cos∏/4 + isin∏/4, right? And that makes it equals to 1/√2 + i/√2, right?
Yes, and ##\ e^{-i\pi/4}= \ ? ##
 
  • #17
SammyS said:
Yes, and ##\ e^{-i\pi/4}= \ ? ##

Thanks, I got it!Yay! Thank you!
 
Last edited:
  • #18
MissP.25_5 said:
Thanks, I got it!Yay! Thank you!

Good!
 

Similar threads

  • · Replies 3 ·
Replies
3
Views
2K
  • · Replies 5 ·
Replies
5
Views
2K
Replies
5
Views
3K
  • · Replies 40 ·
2
Replies
40
Views
5K
  • · Replies 3 ·
Replies
3
Views
2K
Replies
1
Views
2K
  • · Replies 2 ·
Replies
2
Views
2K
  • · Replies 3 ·
Replies
3
Views
2K
  • · Replies 13 ·
Replies
13
Views
2K