Easy matrix integration question

  • Thread starter Thread starter Rickster26ter
  • Start date Start date
  • Tags Tags
    Integration Matrix
Click For Summary

Homework Help Overview

The discussion revolves around a triple integral related to a matrix problem, where participants express confusion regarding the integration process and the implications of the integral bounds. The context includes elements of physics, particularly in relation to mass distribution and delta functions.

Discussion Character

  • Mixed

Approaches and Questions Raised

  • Participants explore the nature of the integral, questioning the setup and the implications of integrating over a domain with measure zero. There are discussions about the role of delta functions and the construction of the integral bounds.

Discussion Status

Several participants have offered insights regarding the potential misconstruction of the integral and the necessity of delta functions. There is ongoing exploration of how to properly set up the integral bounds and the implications of integrating over specific intervals.

Contextual Notes

Some participants note the confusion stemming from the original problem statement not being fully provided, which complicates the discussion. There are mentions of specific assumptions regarding the density function and the integration limits that are under scrutiny.

Rickster26ter
Messages
8
Reaction score
0

Homework Statement


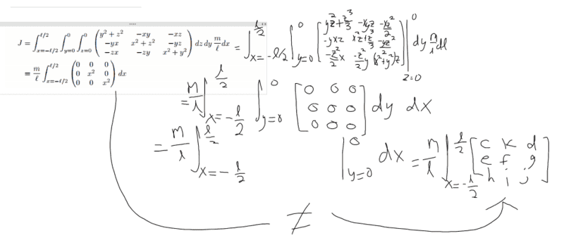
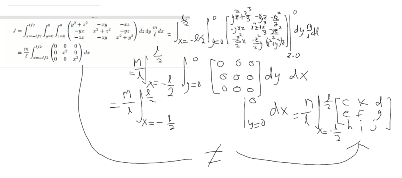
This is just the triple integral of an easy matrix problem. I just have no ideas what they got by the time they got to the integral of x.

Homework Equations


integral[/B]

The Attempt at a Solution



Somebody please prove me wrong. I got a matrix of constants by the time I got to x, not this
d4dbcc7a6ed24655869d849da683b463_A.jpg
[/B]
 

Attachments

  • d4dbcc7a6ed24655869d849da683b463_A.jpg
    d4dbcc7a6ed24655869d849da683b463_A.jpg
    9.3 KB · Views: 541
Physics news on Phys.org
Please show us what the actual problem is and your own efforts to solve it.
 
upload_2017-12-20_15-19-40.png
 

Attachments

  • upload_2017-12-20_15-19-40.png
    upload_2017-12-20_15-19-40.png
    18.8 KB · Views: 1,099
Rickster26ter said:

Notice, the main problem is that after I integrate, a z is mutliplied by everything, and then turned into 0.
 
Clearly the integral is zero. The integration domain has measure zero. I suspect what was intended was to integrate some delta functions over a non-empty domain.

It would help if you stated the problem. Always state the full problem exactly as given.
 
  • Like
Likes   Reactions: FactChecker
This is a little unusual. I think that the answer is the zero matrix. The reason is that even the elements that do not include y or z would integrate to 0 when the integral ends are both 0. In fact any time both ends are the same. Suppose the antiderivative of function f is F. Then ∫a af(y) dy = F(y)|y=a - F(y)|y=a = F(a)-F(a) = 0
 
FactChecker said:
This is a little unusual. I think that the answer is the zero matrix. The reason is that even the elements that do not include y or z would integrate to 0 when the integral ends are both 0. In fact any time both ends are the same. Suppose the antiderivative of function f is F. Then ∫a af(y) dy = F(y)|y=a - F(y)|y=a = F(a)-F(a) = 0
This is clearly the case. I suspect the integral has been malconstructed. It seems to be the computation of the moment of inertia tensor for a slender rod, except the density function should be a delta function in y and z, not a finite one. As it stands, the dimensions are even wrong.
 
Yea, I realized what I did wrong with trying to at least get constants off, it should be 0. But how could this be? Let me give everyone a zoom out on how this should apply to physics a little better.
upload_2017-12-20_15-27-14.png


upload_2017-12-20_15-26-24.png

upload_2017-12-20_15-27-38.png
 

Attachments

  • upload_2017-12-20_15-26-24.png
    upload_2017-12-20_15-26-24.png
    7.7 KB · Views: 575
  • upload_2017-12-20_15-27-14.png
    upload_2017-12-20_15-27-14.png
    20.6 KB · Views: 652
  • upload_2017-12-20_15-27-38.png
    upload_2017-12-20_15-27-38.png
    13 KB · Views: 726
Can you explain or show to me what the integral should look like then?
 
  • #10
I'm an electrical Engineer, and have only dealt with delta functions in wave properties, not tensors, so can you explain further?
 
  • #11
I suggest that you think about what dm is in terms of the coordinates. In general, it is given by ##dm = \rho \, dV## and you should integrate over all of space. (There are several hints in my previous posts.)

For the future: You should have given us the entire problem in your first post. It would have significantly simplified the process. As it was I had to guess what you were actually up to.
 
  • #12
Fair enough. I'm still a bit confused as to what is "malconstructed." I think I understand why you are saying we need delta functions, but I still don't get why how the integral bounds should be constructed, if not 0 to 0, and how that gives us the (2,2) and (3,3) x^2 values..
 
  • #13
If you want me to show my work, somebody who knows less, how much more do I need you to show work of what you are talking about.
 
  • #14
Rickster26ter said:
I'm still a bit confused as to what is "malconstructed."
For example, if you would try to compute the mass in a similar way, you would get zero.

One way around using delta functions is to skip the y and z integrations altogether and write ##dm = \rho_\ell dx##, where ##\rho_\ell## is the linear density (mass per length). The y and z coordinates are always zero.
 
  • Like
Likes   Reactions: FactChecker
  • #15
Rickster26ter said:
Fair enough. I'm still a bit confused as to what is "malconstructed." I think I understand why you are saying we need delta functions, but I still don't get why how the integral bounds should be constructed, if not 0 to 0, and how that gives us the (2,2) and (3,3) x^2 values..
You could integrate from ##y=-\infty## to ##y=\infty##. It actually doesn't really matter what interval you use as long as it contains ##y=0## because the delta function is zero except when ##y=0##, where the rod lies. Same with ##z##.

The author of the book was extraordinarily sloppy. There are often cases where you write mathematics down which isn't rigorously correct but which gets the job done, but the integral you're dealing with is just plain wrong. It's no surprise it confused you.
 

Similar threads

Replies
3
Views
1K
  • · Replies 4 ·
Replies
4
Views
1K
  • · Replies 3 ·
Replies
3
Views
2K
  • · Replies 3 ·
Replies
3
Views
2K
  • · Replies 25 ·
Replies
25
Views
4K
Replies
2
Views
2K
Replies
8
Views
3K
  • · Replies 4 ·
Replies
4
Views
2K
  • · Replies 6 ·
Replies
6
Views
2K
Replies
1
Views
986