Einstein solid state model exercise

Click For Summary
SUMMARY

The discussion centers on the application of the canonical ensemble in solving the Einstein solid state model exercise. The user expresses uncertainty regarding the correctness of their partition function calculations and seeks clarification on the addition of terms in the partition sum. It is established that the sums over ##n_r## and ##n_l## should factorize, which is crucial for accurately determining the partition function in this context.

PREREQUISITES
  • Understanding of canonical ensemble principles
  • Familiarity with partition functions in statistical mechanics
  • Knowledge of the Einstein solid model
  • Basic skills in mathematical summation techniques
NEXT STEPS
  • Study the derivation of the canonical ensemble partition function
  • Explore the factorization of sums in statistical mechanics
  • Review the Einstein solid model and its implications in thermodynamics
  • Learn about common pitfalls in calculating partition functions
USEFUL FOR

Students and researchers in physics, particularly those focusing on statistical mechanics and thermodynamics, as well as educators teaching the Einstein solid model and canonical ensemble concepts.

besebenomo
Messages
11
Reaction score
1
Homework Statement
The system is composed of a set of N non-interacting harmonic oscillators which can be described as a two-dimensional Einstein solid model in the x, y plane. Suppose that each oscillator has mass m and charge q and that there is a magnetic field HH directed along the z direction.
Relevant Equations
Compute (when the system at thermal equilibrium at temperature T):
Internal Energy
Magnetization
Specific heat capacity\bigm
ass_1.png


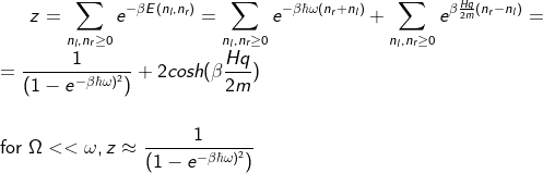
I tried to solve it considering the canonical ensemble (since the system is at the equilibrium with temperature T) and started finding the partition function:
CodeCogsEqn(3).png
The problem is I am not sure if I have done it correctly and need help because I don't really know where to check.
 

Attachments

  • CodeCogsEqn(2).png
    CodeCogsEqn(2).png
    3.1 KB · Views: 170
Last edited:
Physics news on Phys.org
Why are you adding the two terms in your expression for the partition sum? You just have to use the expression and do the two sums over ##n_r## and ##n_l##. Obviously these two sums factorize!
 

Similar threads

  • · Replies 11 ·
Replies
11
Views
3K
Replies
1
Views
2K
Replies
2
Views
3K
  • · Replies 4 ·
Replies
4
Views
2K
Replies
3
Views
3K
  • · Replies 8 ·
Replies
8
Views
3K
  • · Replies 1 ·
Replies
1
Views
2K
  • · Replies 7 ·
Replies
7
Views
4K
  • · Replies 5 ·
Replies
5
Views
3K
Replies
4
Views
2K