Electric field due to two charges

Click For Summary

Homework Help Overview

The discussion revolves around the calculation of the electric field due to two point charges, focusing on the mathematical expressions and vector representations involved in the problem. Participants are exploring the relationships between unit vectors and the spatial dependencies of electric fields.

Discussion Character

  • Exploratory, Conceptual clarification, Mathematical reasoning, Assumption checking

Approaches and Questions Raised

  • Participants are questioning the dimensional correctness of expressions related to electric fields and discussing the normalization of vectors. There are inquiries about how to express unit vectors in terms of other vectors and the implications of using specific equations for electric fields.

Discussion Status

Several participants are actively engaging in clarifying concepts and addressing misunderstandings regarding vector equations and unit vectors. Some guidance has been provided regarding the general expression for electric fields and the importance of normalization, but no consensus has been reached on all points raised.

Contextual Notes

There are indications of confusion regarding the application of specific equations and the assumptions made about the positions of charges. Participants are also reflecting on their prior knowledge and the limitations of the equations they have learned.

member 731016
Homework Statement
Please see below
Relevant Equations
Please see below
The problem and solution is,
1673578465678.png

However, I would like to know why it cannot be solved like this:
1673579082450.png

Thanks for any help!
 
  • Like
Likes   Reactions: MatinSAR
Physics news on Phys.org
  • Like
Likes   Reactions: MatinSAR and member 731016
TSny said:
View attachment 320263
Are these unit vectors?
Thanks for your reply @TSny! Yes the two r hat vectors are unit vectors. I guess then they should both have a magnitude of 1. How would you write the x hat and y hat unit vectors in terms of the r hat vectors?
 
Last edited by a moderator:
  • Like
Likes   Reactions: MatinSAR
Your expression is dimensionally incorrect. The spatial dependence goes as the inverse length not as the inverse length squared. As @TSny noted, you need unit vectors.

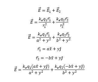
If you have a point charge ##q## at position ##\mathbf{r'}##, the electric field vector at a point located at ##\mathbf{r}## is given by $$\mathbf{E}=\frac{k_e~ q(\mathbf{r}-\mathbf{r'})}{|\mathbf{r}-\mathbf{r'}|^3}.$$ To see how it works in this case, consider the negative charge ##q_2##.
Its position is ##~~\mathbf{r'}_2=b~\hat i##
The point of interest is at ##~~\mathbf{r}=y~\hat j##
Then
##\mathbf{r}-\mathbf{r'}_2=-b~\hat i+y~\hat j~;~~## ##|\mathbf{r}-\mathbf{r'}_2|=(b^2+y^2)^{1/2}##
With this mind, the electric field due to ##q_2## is $$\mathbf{E_2}=\frac{k_e ~q_2(-b~\hat i+y~\hat j)}{ \left(b^2+y^2\right)^{3/2}}.$$ Note that this expression is a magnitude $$E_2=\frac{k_e ~q_2}{ b^2+y^2}$$ multiplied by a unit vector $$\mathbf{\hat e}_2=\frac{(-b~\hat i+y~\hat j)}{ \left(b^2+y^2\right)^{1/2}}.$$Your expression was almost there.
 
  • Like
Likes   Reactions: MatinSAR and member 731016
kuruman said:
Your expression is dimensionally incorrect. The spatial dependence goes as the inverse length not as the inverse length squared. As @TSny noted, you need unit vectors.

If you have a point charge ##q## at position ##\mathbf{r'}##, the electric field vector at a point located at ##\mathbf{r}## is given by $$\mathbf{E}=\frac{k_e~ q(\mathbf{r}-\mathbf{r'})}{|\mathbf{r}-\mathbf{r'}|^3}.$$ To see how it works in this case, consider the negative charge ##q_2##.
Its position is ##~~\mathbf{r'}_2=b~\hat i##
The point of interest is at ##~~\mathbf{r}=y~\hat j##
Then
##\mathbf{r}-\mathbf{r'}_2=-b~\hat i+y~\hat j~;~~## ##|\mathbf{r}-\mathbf{r'}_2|=(b^2+y^2)^{1/2}##
With this mind, the electric field due to ##q_2## is $$\mathbf{E_2}=\frac{k_e ~q_2(-b~\hat i+y~\hat j)}{ \left(b^2+y^2\right)^{3/2}}.$$ Note that this expression is a magnitude $$E_2=\frac{k_e ~q_2}{ b^2+y^2}$$ multiplied by a unit vector $$\mathbf{\hat e}_2=\frac{(-b~\hat i+y~\hat j)}{ \left(b^2+y^2\right)^{1/2}}.$$Your expression was almost there.
Thanks for your reply @kuruman ! Sorry where did you get this expression from?
1673582392067.png


I think I did see it once it Kevin Zhou's handouts but I have not really formally learnt it.

I have only learnt about:
1673582436587.png


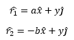
I see by inspection that r hat vector is equal to r^ = r - r'. However, why is the absolute value of r - r' cubed?

Many thanks!
 
1673582034787.png

The magnitude of the right-hand side is ## |a \hat x + y \hat j| = \sqrt{a^2+y^2}##. This is not equal to 1, so ##a \hat x + y \hat j## is not a unit vector.

But we can get a unit vector representing ##\hat r_1## by dividing ##a \hat x + y \hat j## by ##\sqrt{a^2+y^2}##. Thus, $$\hat r_1 = \frac{a \hat x + y \hat j}{\sqrt{a^2+y^2}}$$ Now, consider the x-component of ##\hat r_1##: $$\frac{a }{\sqrt{a^2+y^2}}$$ How is this related to the angle ##\phi##?
 
  • Like
Likes   Reactions: MatinSAR and member 731016
kuruman said:
The spatial dependence goes as the inverse length not as the inverse length squared.
Did you mean that the other way around?
It seems @Callumnc1 intended ##\hat r_1## etc. as unit vectors, but failed to normalise to ensure that they are.
 
  • Like
Likes   Reactions: MatinSAR and member 731016
haruspex said:
Did you mean that the other way around?
I meant that the spatial dependence of @Callumnc1's goes as the inverse length when it ought to go as the inverse length squared. Yes, the expression has the right direction but was not properly normalized. That is why I said that his expression was "almost there."
 
  • Like
Likes   Reactions: MatinSAR and member 731016
Callumnc1 said:
Thanks for your reply @kuruman ! Sorry where did you get this expression from?
1673582392067-png.png
It's the most general expression for the electric field at an arbitrary point due to a point charge placed at another arbitrary point. It can be found in any intermediate-level E&M textbook and on the web.
Callumnc1 said:
think I did see it once it Kevin Zhou's handouts but I have not really formally learnt it.

I have only learnt about:
1673582436587-png.png
Perhaps now is the time to learn it. The one you know, equation (22.9), is not general enough because it assumes that the point charge is located at the origin. How would you express the electric field vector if the origin has already been chosen for you and the charge is not at it?

Callumnc1 said:
I see by inspection that r hat vector is equal to r^ = r - r'.
That equation has problems
1. It is not a vector equation
2. The right hand side is not a unit vector.

Question: How would you write a unit vector in the direction of an arbitrary vector?
Answer: You divide the vector by its magnitude. See posts #4 and #6.
 
  • Like
Likes   Reactions: MatinSAR and member 731016
  • #10
TSny said:
The magnitude of the right-hand side is ## |a \hat x + y \hat j| = \sqrt{a^2+y^2}##. This is not equal to 1, so ##a \hat x + y \hat j## is not a unit vector.

But we can get a unit vector representing ##\hat r_1## by dividing ##a \hat x + y \hat j## by ##\sqrt{a^2+y^2}##. Thus, $$\hat r_1 = \frac{a \hat x + y \hat j}{\sqrt{a^2+y^2}}$$ Now, consider the x-component of ##\hat r_1##: $$\frac{a }{\sqrt{a^2+y^2}}$$ How is this related to the angle ##\phi##?
Thanks for your replies @TSny, I think
1673584258110.png
. But since you said that the x-component of the
1673584393103.png
was
1673584411970.png
then a =
1673584411970.png
so
1673584582284.png

But to be honest, it dose seem a bit strange that a =
1673584411970.png
, did I do something wrong?

Many thanks!
 
  • Like
Likes   Reactions: MatinSAR
  • #11
haruspex said:
Did you mean that the other way around?
It seems @Callumnc1 intended ##\hat r_1## etc. as unit vectors, but failed to normalise to ensure that they are.
Thank you @haruspex!
 
  • Like
Likes   Reactions: MatinSAR
  • #12
You are complicating things unnecessarily. Look at the ratio ##\dfrac{a }{\sqrt{a^2+y^2}}##. Now look at the drawing. The denominator is the hypotenuse of the right triangle on the left with ##q _1## at its corner. Right side ##a## is adjacent to given angle ##\phi##. So the ratio is $$\rm{Ratio}=\frac{\rm{Adjacent}}{\rm{Hypotenuse}}.$$ Does this ring a bell?
 
  • Like
Likes   Reactions: MatinSAR and member 731016
  • #13
kuruman said:
It's the most general expression for the electric field at an arbitrary point due to a point charge placed at another arbitrary point. It can be found in any intermediate-level E&M textbook and on the web.

Perhaps now is the time to learn it. The one you know, equation (22.9), is not general enough because it assumes that the point charge is located at the origin. How would you express the electric field vector if the origin has already been chosen for you and the charge is not at it?That equation has problems
1. It is not a vector equation
2. The right hand side is not a unit vector.

Question: How would you write a unit vector in the direction of an arbitrary vector?
Answer: You divide the vector by its magnitude. See posts #4 and #6.
Thank you for your help @kuruman ! That is a useful expression you mentioned! So I see that the equation 22.9 that I mentioned is a special case of your equation when the r' = 0 when the charge is at the origin. Then the equation simplifies to
1673585010097.png
, however, where do they get the unit vector from that is shown in equation 22.9?

Also how is my equation not a vector equation since r hat is a unit vector and both r and r' are position vectors?
1673585241031.png


Many thanks!
 
  • #14
Callumnc1 said:
I think ##\phi = \tan^{-1} \frac y a##.
Yes, this is correct. Can you express ##\frac a {\sqrt{a^2 + y^2}}## as some trig function of ##\phi##?
Callumnc1 said:
But to be honest, it dose seem a bit strange that ## a = \frac a {\sqrt{a^2+y^2}}## , did I do something wrong?
Right, this equation is not correct. I don’t see how you arrived at it. Remember, your original equation ##\hat r_1 =a \hat i+ y \hat j## for the unit vector ##\hat r_1## is not correct. So the x-component of ##\hat r_1## is not equal to ##a##.
 
  • Like
Likes   Reactions: MatinSAR and member 731016
  • #15
kuruman said:
I meant that the spatial dependence of @Callumnc1's goes as the inverse length when it ought to go as the inverse length squared. Yes, the expression has the right direction but was not properly normalized. That is why I said that his expression was "almost there."
Ah, ok - it was just ambiguous as to which was which in post #4.
 
  • Like
Likes   Reactions: MatinSAR and member 731016
  • #16
TSny said:
Yes, this is correct. Can you express ##\frac a {\sqrt{a^2 + y^2}}## as some trig function of ##\phi##?

Right, this equation is not correct. I don’t see how you arrived at it. Remember, your original equation ##\hat r_1 =a \hat i+ y \hat j## for the unit vector ##\hat r_1## is not correct. So the x-component of ##\hat r_1## is not equal to ##a##.
Thank you @TSny and @kuruman for your replies! So I assume that the only way to find the x-component of the unit vector is to set y = 0 (let me know if you guys know any other ways), therefore the x-component is of the r hat unit vector is
1673595596328.png
. I now think that the trig function can be expressed as cos (phi) =
1673595653142.png
.

Many thanks!
 
  • #17
kuruman said:
You are complicating things unnecessarily. Look at the ratio ##\dfrac{a }{\sqrt{a^2+y^2}}##. Now look at the drawing. The denominator is the hypotenuse of the right triangle on the left with ##q _1## at its corner. Right side ##a## is adjacent to given angle ##\phi##. So the ratio is $$\rm{Ratio}=\frac{\rm{Adjacent}}{\rm{Hypotenuse}}.$$ Does this ring a bell?
Yes sorry @kuruman , I understand now. :)
 

Similar threads

  • · Replies 5 ·
Replies
5
Views
1K
  • · Replies 22 ·
Replies
22
Views
3K
  • · Replies 10 ·
Replies
10
Views
1K
  • · Replies 6 ·
Replies
6
Views
2K
  • · Replies 1 ·
Replies
1
Views
1K
  • · Replies 3 ·
Replies
3
Views
2K
  • · Replies 12 ·
Replies
12
Views
3K
Replies
9
Views
2K
  • · Replies 12 ·
Replies
12
Views
1K
  • · Replies 11 ·
Replies
11
Views
2K