Electric field in a spherical shell

Click For Summary

Homework Help Overview

The discussion revolves around the electric field within a spherical shell, specifically addressing the conditions under which the field remains constant. The original poster is restudying electrostatics and is attempting to apply Gauss' law to a problem involving a point charge at the center of a spherical shell with a given volume charge density.

Discussion Character

  • Exploratory, Assumption checking, Mathematical reasoning

Approaches and Questions Raised

  • Participants discuss the application of Gauss' law and the calculation of the electric field inside the shell. Questions arise regarding the interpretation of the problem, particularly concerning the charge distribution and the need for integration to find the total charge within certain radii. There are also inquiries about the calculations leading to the outcomes presented.

Discussion Status

The discussion is ongoing, with participants exploring different interpretations of the problem and the implications of the charge distribution. Some guidance has been offered regarding the conditions for the electric field to be constant, but there is no explicit consensus on the approach to take or the assumptions involved.

Contextual Notes

Participants note potential misunderstandings regarding the problem setup, particularly about the nature of the electric field inside the shell and the assumptions about charge distribution. There are references to the need for integration in calculating charge contributions, as well as the implications of the spherical symmetry of the charge distribution.

Eitan Levy
Messages
259
Reaction score
11
Homework Statement
There is given a spherical shell with an inner radius of a and an outer radius of b, and there is a point charge +Q in the center. The volume charge density of the charge in the shell is A/r where A is some constant.

Find A if the electric field inside the shell is constant.
Relevant Equations
Gauss' law
Hi, been a while since I last asked here something.

I am restudying electrostatics right now, and I am facing difficulties in the following question:

My attempt:

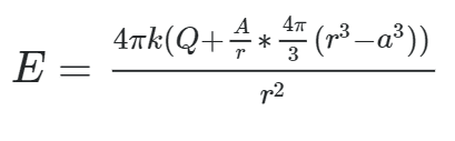
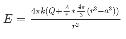
I tried to use Gauss' law, what I got is the equation in the capture but that doesn't lead me anywhere as I am unable to find a value that will result in a constant field inside the shell. What am I doing wrong?

Of course that the equation is for a<r<b
 

Attachments

  • Capture.PNG
    Capture.PNG
    2 KB · Views: 267
Physics news on Phys.org
Eitan Levy said:
what I got
And how, precisely, did you get that ? (you want to know what you did wrong, so we want to know what you did. But all you telll us is the outcome -- which is wrong - or not)

My clues:
  1. for QQ alone the field is ##kQ\over r^2##kQr2 and not 4π4π times as much
  2. you multiply ##A\over r## with a volume -- that's not Gauss !
 
BvU said:
And how, precisely, did you get that ? (you want to know what you did wrong, so we want to know what you did. But all you telll us is the outcome -- which is wrong - or not)
Simply by looking at a sphere with a radius of r. The total charge inside the surface of this sphere should amount to Q, the point charge plus the charge in the shell until we reach a distance of r. Then I simply used the formula for Gauss' law.
 
(I give up editing my post #2 - PF is whacking it all the time)

Eitan Levy said:
he charge in the shell until we reach a distance of r
How do you calculate that ?
 
BvU said:
(I give up editing my post #2 - PF is whacking it all the time)

How do you calculate that ?

A massive error by me, thank you.
 
BvU said:
(I give up editing my post #2 - PF is whacking it all the time)

How do you calculate that ?
Actually I am still unable to reach a solution.

I calculated that by calculating the integral of A/r*4πr^2dr from a to r, I got 2πA(r^2-a^2) as an answer.

EDIT: Never mind I got it, thanks.
 
Eitan Levy said:
Homework Statement: There is given a spherical shell with an inner radius of a and an outer radius of b, and there is a point charge +Q in the center. The volume charge density of the charge in the shell is A/r where A is some constant.

Find A if the electric field inside the shell is constant.
You may be misinterpreting the question.
A spherically symmetric charge generates no field inside itself. They must mean the field is constant between the inner and outer radii of the shell.
This does not require integration. Consider a point at radius r between a and b. What is the field there due to:
- the point charge
- the spherical charge between a and r
- the spherical charge between r and b?
 
  • Like
Likes   Reactions: collinsmark
haruspex said:
the spherical charge between a and r
requires integration ...
 
BvU said:
requires integration ...
:smile: Yes, that's true. (integration is required to find the charge inside the shell; or even the charge inside the shell from radius [itex]a[/itex] to [itex]r[/itex]).

But I must be misinterpreting the problem. I can't seem to find a solution where both [itex]E[/itex] and [itex]A[/itex] are constants (for any [itex]r[/itex] that lies inside the spherical shell). I attribute that to my misunderstanding of something, somewhere or another. 🤔
 
  • #10
BvU said:
requires integration ...
It can be avoided. Consider the rate of change of the field as radius increases at radius a.
For the field due to the point charge that rate is ##-\frac{2Q}{a^3}##. For the spherical shell it is ##4\pi\frac Aaa^2\frac 1{a^2}=\frac{4\pi A}a##.
The sum of the two must be zero.
Arguably, this approach assumes there is an answer.
 
Last edited:
  • #11
collinsmark said:
But I must be misinterpreting the problem. I can't seem to find a solution where both [itex]E[/itex] and [itex]A[/itex] are constants (for any [itex]r[/itex] that lies inside the spherical shell). I attribute that to my misunderstanding of something, somewhere or another. 🤔
Nevermind. I see my misunderstanding now. :smile: For a specific value of A (depending on other paramters such as Q and a), both A and E can be made to be constants for the region between a and b.
 
Last edited:

Similar threads

Replies
5
Views
1K
Replies
4
Views
2K
  • · Replies 17 ·
Replies
17
Views
3K
  • · Replies 5 ·
Replies
5
Views
825
Replies
9
Views
2K
Replies
9
Views
1K
Replies
2
Views
3K
Replies
44
Views
5K
  • · Replies 4 ·
Replies
4
Views
2K
  • · Replies 2 ·
Replies
2
Views
2K