Discussion Overview
The discussion revolves around the energy radiated by an object falling into a black hole, exploring theoretical frameworks and calculations related to this scenario. Participants engage with concepts from general relativity and special relativity, and the implications of using different approximations in the context of black holes.
Discussion Character
- Exploratory
- Technical explanation
- Debate/contested
- Mathematical reasoning
Main Points Raised
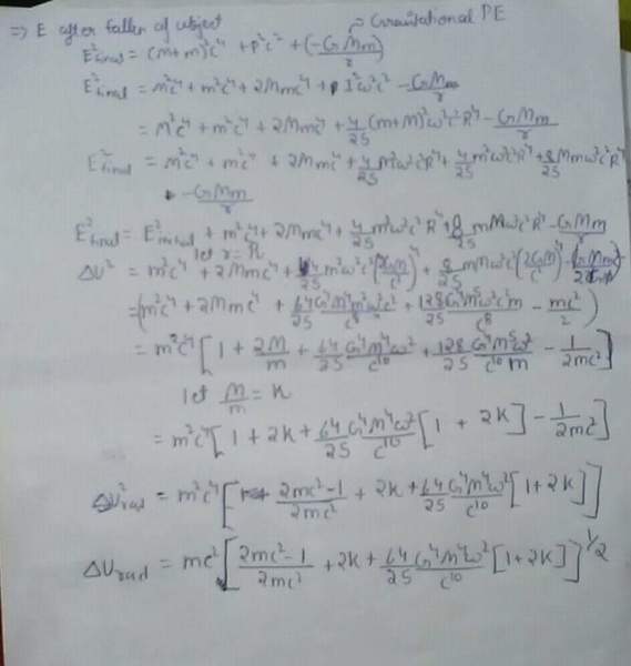
- One participant seeks to verify their calculations regarding energy radiation when an object falls into a black hole.
- Another participant points out a missing squared term in the calculations, indicating a potential error.
- There is a suggestion that special relativity formulas and Newtonian gravitational potential energy are inappropriate for this scenario, advocating for the use of Post Newtonian approximation.
- Some participants argue that Post Newtonian approximation cannot be applied to black holes and that the full Schwarzschild metric must be used instead.
- A participant describes two scenarios where the Schwarzschild metric can be applied, noting that in one case, an object falling radially does not radiate energy, while in another case, an object at rest above the horizon does radiate energy.
- There is a discussion about the validity of Post Newtonian methods in the context of black hole mergers, with differing opinions on their applicability.
- One participant emphasizes the importance of using an idealized case of a test particle with negligible mass for the original question posed.
- Another participant requests the original poster to share their equations in LaTeX format for clearer discussion and analysis.
- The original poster shares equations related to the mass of the black hole and the object, along with energy calculations, but the clarity and correctness of these equations are still under scrutiny.
Areas of Agreement / Disagreement
Participants express differing views on the applicability of Post Newtonian approximation to black holes, with some asserting it cannot be used while others suggest it may work under certain conditions. The discussion remains unresolved regarding the best approach to calculate the energy radiated by an object falling into a black hole.
Contextual Notes
Participants highlight limitations in the original poster's approach, including the use of inappropriate formulas and the need for clearer presentation of calculations. There is also mention of the complexity involved in accurately modeling the scenario of an object falling into a black hole.