Eq. for displacement of current-carrying wire due to magnet

Click For Summary
SUMMARY

The discussion focuses on deriving the equation for the horizontal displacement of a current-carrying wire in a magnetic field, specifically the formula d = (L/mg)F. Here, L represents the distance between two vertical contacts, mg denotes the weight attached to the wire, and F is the magnetic field strength. The participants analyze the relationship between the angle theta, the displacement d, and the geometry of the setup, identifying an error in the derivation related to the presence of an extraneous factor of 4. The correct derivation involves understanding the trigonometric relationships in the free-body diagram of the wire.

PREREQUISITES
  • Understanding of basic physics concepts, particularly electromagnetism.
  • Familiarity with trigonometric functions and their applications in physics.
  • Knowledge of free-body diagrams and their role in analyzing forces.
  • Ability to derive equations from physical principles and experimental setups.
NEXT STEPS
  • Study the principles of electromagnetism, focusing on the Lorentz force law.
  • Learn how to construct and interpret free-body diagrams in physics problems.
  • Explore trigonometric identities and their applications in deriving equations.
  • Review laboratory techniques for measuring magnetic fields and current effects on conductors.
USEFUL FOR

Physics students, educators, and anyone involved in experimental physics or electromagnetism who seeks to understand the dynamics of current-carrying wires in magnetic fields.

WK95
Messages
139
Reaction score
1

1. Homework Statement

a3vab1i.png

This is for a physics lab I am working on. A flowing current causes the wire to deflect towards the right a certain amount that varies depending on the current strength.

I need to derive the equation d=(L/mg)F
where
-- L is the distance between contact 1 and 2 both of which lie in the same vertical line.
-- mg is the weight attached at the end of the wire.
-- F is the strength of the magnetic field.
-- d is the horizontal displacement of the wire at the magnet

The magnets are located in the center of the setup and the vertical distance from contact 1 to the magnet can be approximated to be L/2

For the full lab, see http://skipper.physics.sunysb.edu/~physlab/phy134Lab5Magnetic_Force_v4.pdf

Homework Equations


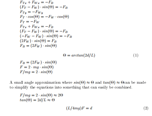
Derive: d = (L/mg)F
F = 2*F_W *sin(theta)
theta = d/L/2 = 2d/L
See below for the derivations of the second two equations.

The Attempt at a Solution


MOMDYs7.png

Here is a free-body diagram of the wire at the point where a magnetic field moves it to the right. Equation (1) is for theta, the angle that F_W makes with the vertical.
fTqxDOs.png

I got the equation for theta as follows. Tan(theta) = Opposite/Adjacent. Taking theta to be the angle of the wire to the horizontal, opposite is equation to d and adjacent is taken to be L/2 so this will be the triangle formed by the top half of the wire and the magnet. Thus tan(theta)=d/L/2=2d/L

So I've gotten close but the 4 shouldn't be there. I know I have an error somewhere and likely, the 2s of the equations before should have canceled each other once I combined them.
 

Attachments

  • Lab 5 setup.PNG
    Lab 5 setup.PNG
    27.6 KB · Views: 656
Physics news on Phys.org
I also got the same eqn as yours. Check the questiin again
 
Bump.
 

Similar threads

Replies
3
Views
1K
Replies
5
Views
1K
Replies
8
Views
2K
Replies
4
Views
2K
  • · Replies 12 ·
Replies
12
Views
2K
  • · Replies 5 ·
Replies
5
Views
2K
  • · Replies 5 ·
Replies
5
Views
3K
  • · Replies 6 ·
Replies
6
Views
2K
Replies
55
Views
6K