Equilibrium Stability: Finding Charge Stability

Click For Summary

Discussion Overview

The discussion revolves around the stability of electric charge equilibrium as described by the equation x^2+3x-0.45=0, which yields two solutions for charge positions. Participants explore the use of derivatives to determine stability and the conditions under which a test charge is in equilibrium with two other charges, including considerations of force and field directions.

Discussion Character

  • Homework-related
  • Mathematical reasoning
  • Debate/contested

Main Points Raised

  • Some participants suggest using the first derivative to assess stability at the equilibrium points x1=0.14 and x2=-3.14.
  • Others question whether the reasoning about stability based on the first derivative is correct, particularly in the context of the forces acting on the test charge.
  • One participant expresses uncertainty about the charge's location and stability, suggesting that the charge should be on the x-axis between two other charges.
  • Another participant emphasizes the need for the net forces to cancel out for equilibrium, raising concerns about the conditions under which this occurs.
  • There is a discussion about the nature of the test charge, with some participants clarifying its charge and position relative to other charges.
  • Graphical representations of the force field and net force equations are requested to better understand the situation.

Areas of Agreement / Disagreement

Participants do not reach a consensus on the stability of the charge at the equilibrium points, with multiple competing views regarding the application of derivatives and the conditions for equilibrium. The discussion remains unresolved regarding the correct interpretation of the forces involved.

Contextual Notes

Participants express uncertainty about the assumptions made regarding the charge placements and the implications of the mathematical results. There are also unresolved questions about the graphical representation of the force field and net forces.

Mary1995
Messages
5
Reaction score
0

Homework Statement


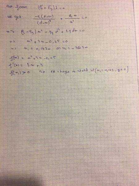
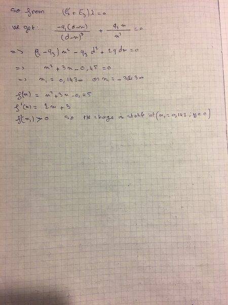
The equation x^2+3x-0.45=0 has two solutions x1=0.14 and x2=-3.14, these are supposed to be the locations at which the electric charge is in equilibrium with two other charges, should I use the first derivative to see at which location the charge will be stable?

Homework Equations


x^2+3x-0.45=0

The Attempt at a Solution


f’=2x+3, f’(x1)>0 so the charge is stable, is my reasoning correct?
 
Physics news on Phys.org
Mary1995 said:

Homework Statement


The equation x^2+3x-0.45=0 has two solutions x1=0.14 and x2=-3.14, these are supposed to be the locations at which the electric charge is in equilibrium with two other charges, should I use the first derivative to see at which location the charge will be stable?

Homework Equations


x^2+3x-0.45=0

The Attempt at a Solution


f’=2x+3, f’(x1)>0 so the charge is stable, is my reasoning correct?
Welcome to the PF, Mary. :smile:

Could you post the full problem statement, along with a diagram of the charge placements? And what you have derived is the net Coulomb force on a test charge due to two other fixed charges?
 
Hi Berkaman, thanks for your response, here is the full exercice:

and here is my answer:
Capture.JPG
IMG-4993.JPG
IMG-4994.JPG


Thank you!
 

Attachments

  • Capture.JPG
    Capture.JPG
    28 KB · Views: 916
  • IMG-4993.JPG
    IMG-4993.JPG
    44.2 KB · Views: 909
  • IMG-4994.JPG
    IMG-4994.JPG
    36.4 KB · Views: 943
Mary1995 said:
Hi Berkaman, thanks for your response, here is the full exercice:

and here is my answer: View attachment 214849 View attachment 214850 View attachment 214851

Thank you!
I'm having trouble following your handwritten solution. Could you summarize the answers you got? And are you saying that the charge is in equilibrium and stable in a position between the two other charges and with y=0, or am I misreading that part? If that is what you are saying, I don't think it is correct...
 
I first didn't know where the charge would be located at equilibrium so I tried to get a general formulas from E1j+E3j=0 then E1i+E3i=0
from the first equation I deduced that y would be zero, so the charge would be located at the x-axis then from the second equation I got the locations on the x axis, two results were found, I have to choose one at which the charge would be stable so I thought about the first derivative.
 
Mary1995 said:
I first didn't know where the charge would be located at equilibrium so I tried to get a general formulas from E1j+E3j=0 then E1i+E3i=0
from the first equation I deduced that y would be zero, so the charge would be located at the x-axis then from the second equation I got the locations on the x axis, two results were found, I have to choose one at which the charge would be stable so I thought about the first derivative.
I don't think that's right so far. What vector answers did you get for parts a) and b) ?

And for c), think about it intuitively first. The test charge is positive, and the two other charges are positive and negative. The test charge will be attracted to one and repelled by the other. Those forces have to cancel out in order for the net force to be zero. If the test charge is not on the line going through those two particles, how can the net vector forces be zero...?
 
isn't the test charge q2=-3.0 nC <0?? it is supposed to be between the two positive charges on the line x, I seems logic!
 
Mary1995 said:
isn't the test charge q2=-3.0 nC <0?? it is supposed to be between the two positive charges on the line x, I seems logic!
Oh, my bad, sorry. For parts a) and b), they were asking about the field and force at the origin where q3 is. Then you are right, for part c) they switched and asked about movning q2. Sorry that I caused confusion.

And yes, in that case, q2 needs to be somewhere on the x-axis, between the two + charges. Sorry. So did you still get two solutions for the possible x-position of q2? Can you graph approximately what the force field looks like around the point(s) where the net force is zero?
 
Here I plotted the the function of x, is this what you asked for?
Capture.JPG
 

Attachments

  • Capture.JPG
    Capture.JPG
    33.1 KB · Views: 521
  • #10
Hmm, well that shows a zero between the origin and x=0.3m which is where the 2 positive charges are located. But the rest of the plot doesn't make sense to me. What did you get for the euation of the net force on the negative q3 charge as a function of position x? It seems like it would go to infinity at the x position of each of the two positive charges, no?
 

Similar threads

  • · Replies 1 ·
Replies
1
Views
2K
  • · Replies 2 ·
Replies
2
Views
2K
  • · Replies 7 ·
Replies
7
Views
3K
  • · Replies 2 ·
Replies
2
Views
3K
  • · Replies 5 ·
Replies
5
Views
2K
  • · Replies 6 ·
Replies
6
Views
2K
  • · Replies 32 ·
2
Replies
32
Views
4K
  • · Replies 4 ·
Replies
4
Views
1K
  • · Replies 4 ·
Replies
4
Views
4K
  • · Replies 4 ·
Replies
4
Views
2K