Evaluate the integral along the paths

  • Thread starter Thread starter Schwarzschild90
  • Start date Start date
  • Tags Tags
    Integral
Click For Summary

Homework Help Overview

The discussion centers around evaluating a line integral along different paths in a multivariable calculus context. Participants are attempting to understand the implications of the integral's path dependence and whether the integral represents an exact differential.

Discussion Character

  • Exploratory, Assumption checking, Mathematical reasoning

Approaches and Questions Raised

  • Participants are discussing the evaluation of integrals along specified paths, questioning the correctness of initial attempts, and exploring the implications of path dependence on the results. There is a focus on understanding the setup of the problem and the conditions under which the integral may or may not be exact.

Discussion Status

Some participants have provided insights into evaluating the integrals along specific paths, suggesting that the results may differ based on the chosen path. There is an ongoing exploration of the problem's requirements and the participants are actively questioning their assumptions and interpretations.

Contextual Notes

There is mention of missing attachments that may contain additional context or information relevant to the problem, which could affect the understanding of the integral's evaluation.

Schwarzschild90
Messages
111
Reaction score
1

Homework Statement


opgave formulering.PNG


Homework Equations

and 3. The Attempt at a Solution [/B]
Blundell.PNG


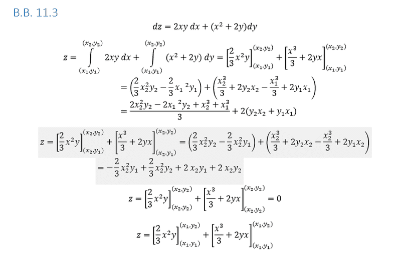
The assignment that I'm struggling with can be seen under the heading titled 1. and my attempt at a solution can be seen in 2. and 3.

Obviously, what I'm doing is wrong. I've surely misunderstood the problem statement. Will someone please help me?

Thank you in advance.

-Schwarzschild
 
Physics news on Phys.org
Schwarzschild90 said:

Homework Statement


View attachment 103046

Homework Equations

and 3. The Attempt at a Solution [/B]
View attachment 103047

The assignment that I'm struggling with can be seen under the heading titled 1. and my attempt at a solution can be seen in 2. and 3.

Obviously, what I'm doing is wrong. I've surely misunderstood the problem statement. Will someone please help me?

Thank you in advance.

-Schwarzschild
There seems to be only two attachments to your post. I think attachment #3 is missing.
 
Hi SteamKing

There's no third attachment, sorry, English is not my first language.

-Schwarzschild
 
Schwarzschild90 said:
Hi SteamKing

There's no third attachment, sorry, English is not my first language.

-Schwarzschild
You seem to be ready to evaluate z between the applicable limits, but you don't appear to show a final result.
 
Not sure what you doing there, let's take

(I) for the path ##(x_1,y_1)->(x_2,y_1)->(x_2,y_2)## (going through straight line segments) we ll have

##\int\limits_{(x_1,y_1)}^{(x_2,y_2)}2xydx=\int\limits_{(x_1,y_1)}^{(x_2,y_1)}2xydx+\int\limits_{(x_2,y_1)}^{(x_2,y_2)}2xydx=\int\limits_{(x_1,y_1)}^{(x_2,y_1)}2xydx+ 0=(x_2^2-x_1^2)y_1##.

You can work similar for ##\int (x^2+2xy)dy## seeing that it ll be zero for the straight line segment##(x_1,y_1)->(x_2,y_1)## so you need to evaluate it only for the straight line segment ##(x_2,y_1)->(x_2,y_2)##

Then you should calculate same things for the path in (II)

If the answer you get in (I) is different than that in (ii) then we can safely say that it is not an exact differential (why?).
 

Similar threads

  • · Replies 16 ·
Replies
16
Views
4K
Replies
10
Views
2K
  • · Replies 5 ·
Replies
5
Views
2K
  • · Replies 6 ·
Replies
6
Views
2K
  • · Replies 13 ·
Replies
13
Views
2K
  • · Replies 1 ·
Replies
1
Views
3K
  • · Replies 7 ·
Replies
7
Views
2K
  • · Replies 6 ·
Replies
6
Views
2K
  • · Replies 1 ·
Replies
1
Views
2K
  • · Replies 3 ·
Replies
3
Views
3K