Field Extensions - Dummit and Foote - Exercise 13, 13.2 ....

  • Thread starter Thread starter Math Amateur
  • Start date Start date
  • Tags Tags
    Exercise Field
Click For Summary

Homework Help Overview

The discussion revolves around Exercise 13 from Section 13.2 of Dummit and Foote's Field Theory, focusing on algebraic extensions and the implications of certain field properties. Participants are exploring the relationships between field dimensions and the inclusion of specific elements, particularly concerning the field extension involving roots of rational numbers.

Discussion Character

  • Exploratory, Assumption checking, Conceptual clarification

Approaches and Questions Raised

  • Participants are attempting to understand how to establish the dimension of field extensions and the implications of elements like ##\alpha_i^2 \in \mathbb{Q}##. Questions arise about the nature of the elements involved and their minimal polynomials, as well as the reasoning behind the degrees of extensions.

Discussion Status

There is an ongoing exploration of various interpretations regarding the relationships between the fields and the implications of certain assumptions. Some participants have suggested potential approaches to clarify the dimensions of the fields involved, while others are questioning the assumptions made about the elements being in or out of ##\mathbb{Q}##.

Contextual Notes

Participants note the importance of understanding the implications of elements being roots of polynomials and the constraints that arise from the definitions of field extensions. There is also mention of the trivial cases where no proper extension exists, particularly regarding ##\sqrt[3]{2}##.

Math Amateur
Gold Member
MHB
Messages
3,920
Reaction score
48

Homework Statement



I am reading Dummit and Foote, Chapter 13 - Field Theory.

I am currently studying Section 13.2 : Algebraic Extensions

I need some help with Exercise 13 of Section 13.2 ... ... indeed, I have not been able to make a meaningful start on the problem ... ...

As indicated above I need help in order to make a meaningful or significant start on the solution to this exercise .. ...Exercise 13 of Section 13.2 reads as follows:
?temp_hash=c965ff8e6de11c5cfb54df5b4a4fd426.png

Homework Equations

Definitions that may be relevant to solving this exercise include the following:

?temp_hash=c965ff8e6de11c5cfb54df5b4a4fd426.png
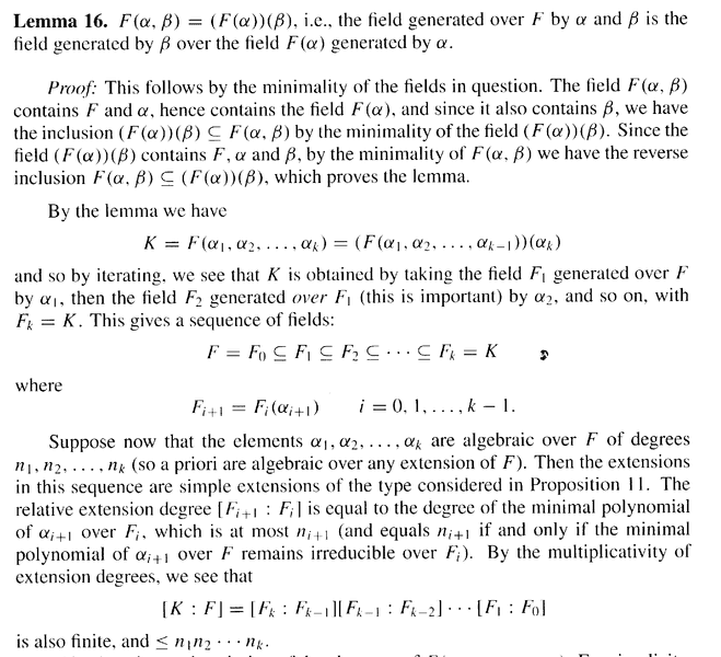
A result which seems relevant is Lemma 16 plus the remarks that follow its proof ... Lemma 16 and the following remarks read as follows:
?temp_hash=c965ff8e6de11c5cfb54df5b4a4fd426.png

The Attempt at a Solution



[/B]
As indicated above I need help in order to make a meaningful or significant start on the solution to this exercise .. ...

As indicated above I need help in order to make a meaningful or significant start on the solution to this exercise .. ...

One thought, though ... there must be some way to use ##\alpha_i^2 \in \mathbb{Q}## ... perhaps in establishing the dimension of ##F( \alpha_1 , \alpha_2, \ ... \ ... \ \ \alpha_{k + 1} )## over ##F( \alpha_1 , \alpha_2, \ ... \ ... \ \ \alpha_{k } )## ... and hence getting some knowledge of the dimension of ##F( \alpha_1 , \alpha_2, \ ... \ ... \ \ \alpha_n )## over ##\mathbb{Q}## ... but even if we do gain such knowledge, how do we use it to show ##\sqrt [3]{2} \notin F## ... ...

... AND FURTHER ... anyway ... what is implied by ##\alpha_i^2 \in \mathbb{Q}## ... ... ?
Help will be much appreciated ...Peter
 

Attachments

  • D&F - Exercise 13 - Section 13.2 ... ....png
    D&F - Exercise 13 - Section 13.2 ... ....png
    3.8 KB · Views: 489
  • D&F - Definition of Field Generated by Elements of K ..png
    D&F - Definition of Field Generated by Elements of K ..png
    18.7 KB · Views: 487
  • D&F - Lemma 16 and following remarks - Section 13.2 ....png
    D&F - Lemma 16 and following remarks - Section 13.2 ....png
    48.4 KB · Views: 470
Last edited:
Physics news on Phys.org
Math Amateur said:
One thought, though ... there must be some way to use ##2∈Q\alpha_i^2 \in \mathbb{Q}## ... perhaps in establishing the dimension of ##F( \alpha_1 , \alpha_2, \ ... \ ... \ \ \alpha_{k + 1} )## over ##F( \alpha_1 , \alpha_2, \ ... \ ... \ \ \alpha_{k } )## ... and hence getting some knowledge of the dimension of ##F( \alpha_1 , \alpha_2, \ ... \ ... \ \ \alpha_n )## over ##\mathbb{Q}## ... but even if we do gain such knowledge, how do we use it to show ##\sqrt [3]{2} \notin F## ... ...
Good idea. What can you say about ##\dim_\mathbb{Q} F\;##? And what about ##\dim_\mathbb{Q}\mathbb{Q}[\sqrt[3]{2}]\;##? Then what do you know about the fields in between, from ##\mathbb{Q}## to ##F\;:\;\mathbb{Q} \subseteq \mathbb{Q}[\alpha_1]\subseteq \mathbb{Q}[\alpha_1,\alpha_2]\subseteq \ldots \subseteq F\;##?
... AND FURTHER ... anyway ... what is implied by ##\alpha_i^2 \in \mathbb{Q}## ... ... ?
It means that ##\alpha_i## is a root of ##x^2-r## for some rational ##r \in \mathbb{Q}##, ergo the minimal polynomial of ##\alpha_i## because ##\alpha_i\notin \mathbb{Q}## which rules out that the degree could be less than two.
 
  • Like
Likes   Reactions: Math Amateur
fresh_42 said:
Good idea. What can you say about ##\dim_\mathbb{Q} F\;##? And what about ##\dim_\mathbb{Q}\mathbb{Q}[\sqrt[3]{2}]\;##? Then what do you know about the fields in between, from ##\mathbb{Q}## to ##F\;:\;\mathbb{Q} \subseteq \mathbb{Q}[\alpha_1]\subseteq \mathbb{Q}[\alpha_1,\alpha_2]\subseteq \ldots \subseteq F\;##?

It means that ##\alpha_i## is a root of ##x^2-r## for some rational ##r \in \mathbb{Q}##, ergo the minimal polynomial of ##\alpha_i## because ##\alpha_i\notin \mathbb{Q}## which rules out that the degree could be less than two.
Thanks for the help, Andrew ... ...

Just a simple clarification though ... ...

You write, in the context of ##\alpha_i^2 \in \mathbb{Q}##, the following ... ...

" ... ... It means that ##\alpha_i## is a root of ##x^2-r## for some rational ##r \in \mathbb{Q}##, ergo the minimal polynomial of ##\alpha_i## because ##\alpha_i\notin \mathbb{Q}## which rules out that the degree could be less than two ... ... "... BUT ..

... how do we know that ##\alpha_i \notin \mathbb{Q}## ... indeed maybe ##\alpha_i## is in ##\mathbb{Q}## ... then ##\alpha_i## will satisfy a polynomial of degree 1 in ##\mathbb{Q}## ... namely ##x - \alpha_i## ... ...

... so doesn't ##\alpha_i^2 \in \mathbb{Q}## mean that

## [ F( \alpha_1, \alpha_2, \ ... \ ... \ \ , \alpha_i ) \ : \ F( \alpha_1, \alpha_2, \ ... \ ... \ \ , \alpha_{i - 1} ) ] ##

is either 1 or 2 ... ...

can you clarify/comment ?{Note : I have to confess that although I think it may well be true that ## [ F( \alpha_1, \alpha_2, \ ... \ ... \ \ , \alpha_i ) \ : \ F( \alpha_1, \alpha_2, \ ... \ ... \ \ , \alpha_{i - 1} ) ] ## is either 1 or 2 (i.e a positive integer less than or equal to 2) I do not know the precise argument for why it cannot be larger than 2 ... say 3 r 4 or 37 or something ... can you explain ...}Peter
 
Last edited:
Hi Michael!

All cases in which ##\alpha_i \in \mathbb{Q}## can be omitted. Say ##\alpha_1 , \ldots \alpha_{k-1} \in \mathbb{Q}## and ##\alpha_k, \ldots , \alpha_n \notin \mathbb{Q}## then ##F=\mathbb{Q}[\alpha_1,\ldots , \alpha_n]=\mathbb{Q}[\alpha_k,\ldots , \alpha_n]## and we're back in the case where all ##\alpha_i \notin \mathbb{Q}##. (The case in which there isn't a proper extension at all is also trivial, since ##\sqrt[3]{2} \notin \mathbb{Q}## and nothing has to be shown.)

So key to this exercise lies in the formula for finite field extensions:
Let ##\mathbb{F} \subseteq \mathbb{K} \subseteq \mathbb{L}## be finite field extensions, then ##[\mathbb{L}:\mathbb{F}] = [\mathbb{L} : \mathbb{K}]\,\cdot \,[\mathbb{K}:\mathbb{F}]\;##.

In case you cannot use this equation, you might investigate how the roots of the minimal polynomial ##m_{\mathbb{Q}}(\sqrt[3]{2})(x)## can be or cannot be expressed by rationals and roots of the form ##x = \alpha_i = \sqrt{r_i}## with ##r_i \in \mathbb{Q}\;##.
 
  • Like
Likes   Reactions: Math Amateur
fresh_42 said:
Hi Michael!

All cases in which ##\alpha_i \in \mathbb{Q}## can be omitted. Say ##\alpha_1 , \ldots \alpha_{k-1} \in \mathbb{Q}## and ##\alpha_k, \ldots , \alpha_n \notin \mathbb{Q}## then ##F=\mathbb{Q}[\alpha_1,\ldots , \alpha_n]=\mathbb{Q}[\alpha_k,\ldots , \alpha_n]## and we're back in the case where all ##\alpha_i \notin \mathbb{Q}##. (The case in which there isn't a proper extension at all is also trivial, since ##\sqrt[3]{2} \notin \mathbb{Q}## and nothing has to be shown.)

So key to this exercise lies in the formula for finite field extensions:
Let ##\mathbb{F} \subseteq \mathbb{K} \subseteq \mathbb{L}## be finite field extensions, then ##[\mathbb{L}:\mathbb{F}] = [\mathbb{L} : \mathbb{K}]\,\cdot \,[\mathbb{K}:\mathbb{F}]\;##.

In case you cannot use this equation, you might investigate how the roots of the minimal polynomial ##m_{\mathbb{Q}}(\sqrt[3]{2})(x)## can be or cannot be expressed by rationals and roots of the form ##x = \alpha_i = \sqrt{r_i}## with ##r_i \in \mathbb{Q}\;##.
Thanks fresh_42 ... appreciate your help ...

Just reflecting on what you have said ... but obviously most helpful ...

Thanks again,

Peter
 
fresh_42 said:
Hi Michael!

All cases in which ##\alpha_i \in \mathbb{Q}## can be omitted. Say ##\alpha_1 , \ldots \alpha_{k-1} \in \mathbb{Q}## and ##\alpha_k, \ldots , \alpha_n \notin \mathbb{Q}## then ##F=\mathbb{Q}[\alpha_1,\ldots , \alpha_n]=\mathbb{Q}[\alpha_k,\ldots , \alpha_n]## and we're back in the case where all ##\alpha_i \notin \mathbb{Q}##. (The case in which there isn't a proper extension at all is also trivial, since ##\sqrt[3]{2} \notin \mathbb{Q}## and nothing has to be shown.)

So key to this exercise lies in the formula for finite field extensions:
Let ##\mathbb{F} \subseteq \mathbb{K} \subseteq \mathbb{L}## be finite field extensions, then ##[\mathbb{L}:\mathbb{F}] = [\mathbb{L} : \mathbb{K}]\,\cdot \,[\mathbb{K}:\mathbb{F}]\;##.

In case you cannot use this equation, you might investigate how the roots of the minimal polynomial ##m_{\mathbb{Q}}(\sqrt[3]{2})(x)## can be or cannot be expressed by rationals and roots of the form ##x = \alpha_i = \sqrt{r_i}## with ##r_i \in \mathbb{Q}\;##.
Thanks to Andrew and fresh_42 for all the help ...

Now to finish the exercise based on the help you gave ...Essentially then, it follows that ...

##[ F \ : \ \mathbb{Q} ] = 2^k## where ##0 \le k \le n##Now ... ... suppose ##\sqrt [3]{2} \in F ## ... (and try for a contradiction)Then since ##\mathbb{Q} \subseteq \mathbb{Q} ( \sqrt [3]{2} ) \subseteq F##

... we have that ...

##[ F \ : \ \mathbb{Q} ] = [ F \ : \ \mathbb{Q} ( \sqrt [3]{2} ) ] [ \mathbb{Q} ( \sqrt [3]{2} ) \ : \ \mathbb{Q} ]##

So that##2^k = [ F \ : \ \mathbb{Q} ( \sqrt [3]{2} ) ] . 3##... BUT ...##3## does not divide ##2^k## ... ... Contradiction!So ##\sqrt [3]{2} \notin F##
Can someone please confirm that the above is correct ... ...

Peter
 
Yes, this is correct. At some place, an extension of degree three (or at least ##3m##) would be needed.
 
  • Like
Likes   Reactions: Math Amateur

Similar threads

Replies
5
Views
2K
  • · Replies 6 ·
Replies
6
Views
2K
Replies
6
Views
2K
Replies
2
Views
2K
  • · Replies 6 ·
Replies
6
Views
2K
  • · Replies 2 ·
Replies
2
Views
2K
  • · Replies 5 ·
Replies
5
Views
2K
  • · Replies 2 ·
Replies
2
Views
2K
  • · Replies 6 ·
Replies
6
Views
2K
  • · Replies 21 ·
Replies
21
Views
2K