Find the lowest n from N that satisfies:

  • Thread starter Thread starter Eliva
  • Start date Start date
Click For Summary

Homework Help Overview

The problem involves finding the lowest natural number \( n \) that satisfies specific conditions related to perfect powers. The conditions are that half of \( n \) must be a perfect square, one-third must be a perfect cube, and one-fifth must be a perfect fifth power.

Discussion Character

  • Exploratory, Conceptual clarification, Mathematical reasoning, Problem interpretation

Approaches and Questions Raised

  • Participants discuss the implications of the equations provided in the attachment and question the clarity of the problem statement. There are attempts to express the relationships between \( n \) and the constants \( k_1, k_2, k_3 \). Some participants suggest using the GCD and Euclidean algorithm, while others explore the factorization of \( n \) into prime components.

Discussion Status

The discussion is ongoing, with participants exploring different interpretations of the problem. Some have provided hints and suggestions for approaching the problem, while others express confusion and seek clarification on the requirements. There is no explicit consensus on the next steps or methods to be used.

Contextual Notes

Participants note the lack of additional information or constraints that could aid in solving the problem. The original poster's use of an attachment has led to some confusion regarding the equations involved.

Eliva
Messages
7
Reaction score
0

Homework Statement


Find the lowest number n from N that satisfies:


Homework Equations



http://img72.imageshack.us/my.php?image=zadacaqw8.jpg
Please see attached
if k is any number from N


The Attempt at a Solution


I have absolutely no idea where to start. :(
 

Attachments

  • zadaca.JPG
    zadaca.JPG
    1.8 KB · Views: 450
Physics news on Phys.org
Hi Eliva!

If the attachment is just the equation that you have to prove, then please type it out for us.

It's not fair on the moderators to make them do the work of checking your attachment when it would be far less work for you to type it out.
 
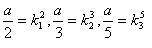
the attachment says
a/2= k12
a/3= k22
a/5= k32

Since his statement of the problem say simply "Find the smalllest number from N that satisfies" and ends there, this makes no sense at all.
 
tiny-tim said:
Hi Eliva!

If the attachment is just the equation that you have to prove, then please type it out for us.

It's not fair on the moderators to make them do the work of checking your attachment when it would be far less work for you to type it out.

Yeah, well, I tried ... the Latex reference was not displaying the equations right, that's why i did it in Word and uploaded an image. I am sorry if that put u into trouble, but the code was not working right, all it gave me in the preview was a few red lines. So again, I am sorry.

HallsofIvy said:
the attachment says
a/2= k12
a/3= k22
a/5= k32

Since his statement of the problem say simply "Find the smalllest number from N that satisfies" and ends there, this makes no sense at all.
Yes, I might have not explained it quite right. The thing is that u acctually need to find the number a, if all those three statements are correct, which at the same time is suppose to be the lowest (smallest) natural number. As in my knowledge it might have smth to do with finding the GCD of these numbers, or maybe use the Euclidean algorithm, but I am not sure exactly how. k1, k2, and k3 are merely constants, they can be any number, it only means that for instance, in the first statement a/2 exists as a full square from some number K. Please have in mind that all three statements must be correct for the number a.
 
So a= 2k12= 3k22= 5k32 for some numbers k1, k2, k3?

If the k's and a are required to be integers, there is no such number: the first equation requires that a= sqrt(2) k1 and, since sqrt(2) is not rational, that is impossible.

I the k's and a are allowed to be general real numbers, there is no smallest such number- just take the k's to be arbitrarily close to 0.
 
Last edited by a moderator:
HallsofIvy said:
the attachment says
a/2= k12
a/3= k22
a/5= k32

Hi HallsofIvy! :smile:

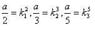
Well, I can see the .jpg now, but it actually says
a/2= k12
a/3= k23
a/5= k35

Hi Eliva! :smile:

So you mean the question is "In the natural numbers, N, find the lowest such that half of it is a perfect square, one-third is a perfect cube, and one fifth is a perfect fifth power"?

Hint: Start by writing out some equations which combine more than one of the three basic equations (and call them p q and r rather than k1 k2 and k3 … it's easier to type :wink:).

What do you get? :smile:
 
tiny-tim said:
So you mean the question is "In the natural numbers, N, find the lowest such that half of it is a perfect square, one-third is a perfect cube, and one fifth is a perfect fifth power"?
Yessss! that's exactly what I am asking! :) Thank you, my math-english is so bad, I am really having troubles setting the words right.

tiny-tim said:
Hint: Start by writing out some equations which combine more than one of the three basic equations (and call them p q and r rather than k1 k2 and k3 … it's easier to type :wink:).
What do you get? :smile:
not much :) i can see that 2|a, 3|a, 5|a .. but i can't go passed that... i tried doing a more equations with the given statements, but i seem to be going in circle.
I know I need to use something with divisors or GDC, i just can't see the connection. The GDC(2,3,5)=1, which doesent give me much either.
I wish there was given at least one more statement or something. I am totally stuck :(
 
Eliva said:
not much :) i can see that 2|a, 3|a, 5|a .. but i can't go passed that

Hint: so call it 2a3b5cd :wink:
 
ohhh! i knew it had something to do with those numbers being simple. Ok, it's Euclids algorithm (which i said myself d'uh) ... so the number a can be factorized by simple numbers (2, 3 and 5 in this case) ... but how do I find their powers?
and just to make sure,
tiny-tim said:
2a3b5cd

in here 2a this "a" here is different than the number a we are looking for, right??

so a= 2x3y5zd
what is the last digit d there??, would it be 7? is there suppose to be one more multiplier, or i need to only use 2, 3 and 5?? andddd, how do i find the powers (lets call them x,y,z, for no confusion) ??
 
  • #10
Given the way you have written a, what is a/2, a/3, a/5? What must they equal?
 
  • #11
Tedjn said:
Given the way you have written a, what is a/2, a/3, a/5? What must they equal?
In the natural numbers, N, find the lowest such that half of it is a perfect square, one-third is a perfect cube, and one fifth is a perfect fifth power.

thats the assignment
 
  • #12
No, Tedjn :smile: meant a= 2x-13y5zd,

a/3 = … ?

a/5 = … ? :smile:

(and d can be any number, not divisible by 2 3 or 5)
 

Similar threads

  • · Replies 9 ·
Replies
9
Views
5K
  • · Replies 22 ·
Replies
22
Views
2K
  • · Replies 3 ·
Replies
3
Views
2K
  • · Replies 4 ·
Replies
4
Views
3K
  • · Replies 11 ·
Replies
11
Views
2K
  • · Replies 2 ·
Replies
2
Views
4K
  • · Replies 36 ·
2
Replies
36
Views
3K
  • · Replies 1 ·
Replies
1
Views
6K
  • · Replies 18 ·
Replies
18
Views
3K
  • · Replies 4 ·
Replies
4
Views
1K