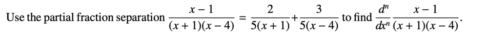
Finding a general formula for the nth derivative of a partial fraction

Click For Summary

Homework Help Overview

The discussion revolves around finding a general formula for the nth derivative of a given expression involving partial fractions. Participants are exploring the differentiation process and attempting to identify patterns in the derivatives.

Discussion Character

  • Exploratory, Mathematical reasoning, Assumption checking

Approaches and Questions Raised

  • The original poster attempts to rewrite the expression and apply the chain rule to derive the first few derivatives, looking for a pattern. Some participants suggest a general form for the nth derivative and discuss the implications of alternating signs and the role of coefficients.

Discussion Status

Participants are actively engaging with the problem, with some providing insights into the structure of the nth derivative. There is a recognition of the need to determine specific coefficients and the potential involvement of factorials in the pattern observed. The discussion includes considerations of using mathematical induction to verify the derived formula.

Contextual Notes

There is mention of the original poster not having encountered induction yet, which may limit their ability to apply this method for verification. Additionally, the exploration of coefficients A and B remains unresolved, with participants questioning their values based on observed patterns.

Bolter
Messages
262
Reaction score
31
Moved from technical math section, so missing the homework template
Summary:: Find a general formula for the nth derivative

Hi everyone!

How would I approach and answer a Q such as this

Screenshot 2020-01-22 at 15.33.44.png


I began by rewriting the expression in a different form, then used chain rule to each given term

I tried to work out the 1st, 2nd and 3rd derivative in order to help me spot a pattern, so that it would help me find a general formula for the nth derivative. But I can't seem to notice too much.

The only thing I see is that signs alternate as you differentiate again and again, and that it has a common factor of 1/5 to take out

IMG_3702.JPG


Any help would be appreciated, thanks!
 
Last edited by a moderator:
Physics news on Phys.org
If we take the 5 for granted (put it in front of brackets ##\ {1\over 5}(...)\ ## ) you have a generalization of the form $${d^n\over dx^n}= {1\over 5}\Bigl (\;A (x+1)^p + B (x-4)^q \;\Bigr ) $$ and you have to find A, B, p and q. Not so difficult, especially p and q :smile:
 
  • Like
Likes   Reactions: Bolter
BvU said:
If we take the 5 for granted (put it in front of brackets ##\ {1\over 5}(...)\ ## ) you have a generalization of the form $${d^n\over dx^n}= {1\over 5}\Bigl (\;A (x+1)^p + B (x-4)^q \;\Bigr ) $$ and you have to find A, B, p and q. Not so difficult, especially p and q :smile:

Ok so I have come up with this now, following up from what you have shown

IMG_3703.JPG


I have multiplied my nth derivative my (-1)^n also, to account for the alternating sign changes
My p and q values must be -(n+1) from inspection

Although I still cannot what A and B values must be?
The only pattern that I can see now is that A & B get doubled then tripled then quadrupled then quintuple etc etc each time you differentiate the expression more and more

Does this involve something to do with factorials or I'm I mistaken here?
 
  • Like
Likes   Reactions: BvU
You are not mistaken !
 
BvU said:
You are not mistaken !

Ok yes, so I have used that in my nth derivative and got this

IMG_3704.JPG

You can probably see that I redone the differentiation for first, second and third derivative, but this time I did not simplify the coefficients and this is what helped me realized that I had to use the factorial notation :smile:

I hope that is right nth derivative formula
 
Bolter said:
Ok yes, so I have used that in my nth derivative and got this

View attachment 255915
You can probably see that I redone the differentiation for first, second and third derivative, but this time I did not simplify the coefficients and this is what helped me realized that I had to use the factorial notation :smile:

I hope that is right nth derivative formula
One way to check the formula you have found is to use induction.
 
PeroK said:
One way to check the formula you have found is to use induction.

I would but I haven't come across to using induction yet :frown:
 
Bolter said:
I would but I haven't come across to using induction yet :frown:

There are two steps:

1) Show that your equation holds for n = 1 (possibly ##n=0## as well).

2) Show that if your equation holds for ##n = k## then it holds for ##n = k+1##.

Then you are done!
 
PeroK said:
There are two steps:

1) Show that your equation holds for n = 1 (possibly ##n=0## as well).

2) Show that if your equation holds for ##n = k## then it holds for ##n = k+1##.

Then you are done!

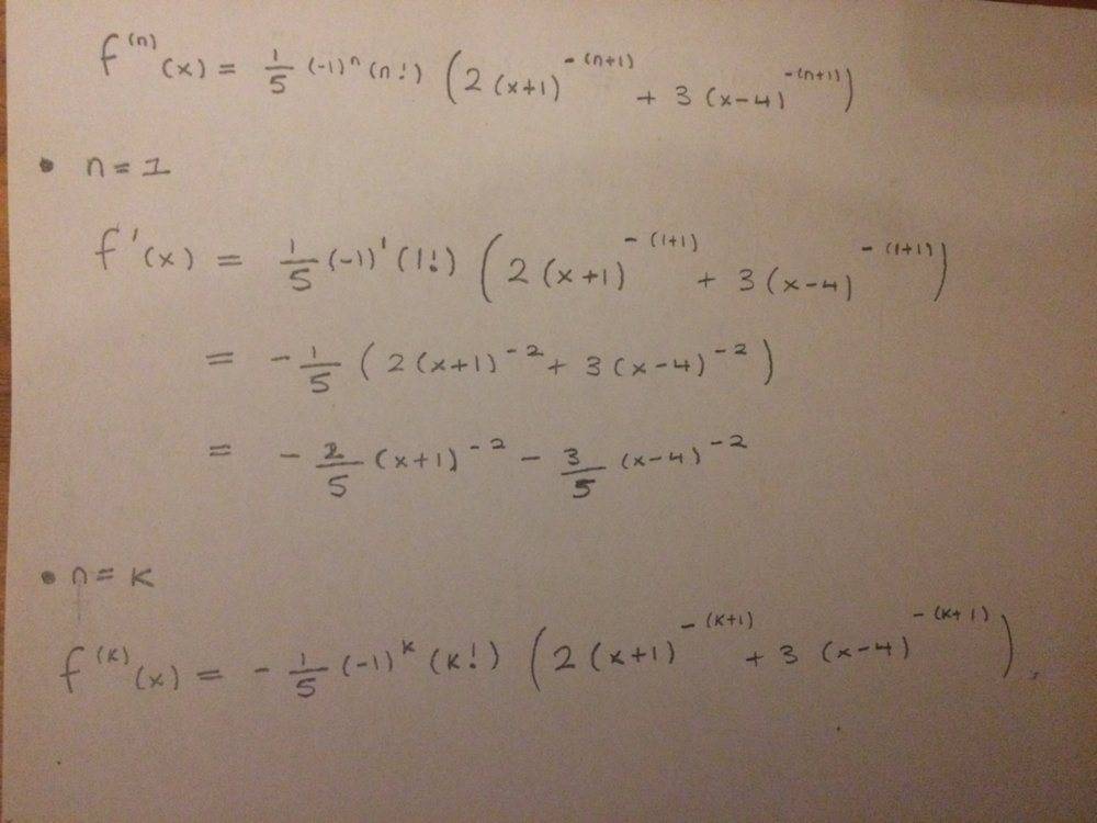
Ahh so it's essentially a proof method then

I had given that a go and I do see that when n=1, it does give back the first order derivative that I found from before

IMG_3705.JPG
 
  • #10
Okay, so if you differentiate that, do you get your formula for ##n = k+1##?
 

Similar threads

  • · Replies 3 ·
Replies
3
Views
2K
  • · Replies 7 ·
Replies
7
Views
3K
  • · Replies 22 ·
Replies
22
Views
2K
Replies
9
Views
3K
  • · Replies 20 ·
Replies
20
Views
19K
  • · Replies 11 ·
Replies
11
Views
11K
  • · Replies 3 ·
Replies
3
Views
3K
  • · Replies 8 ·
Replies
8
Views
2K
  • · Replies 2 ·
Replies
2
Views
2K
  • · Replies 2 ·
Replies
2
Views
2K