Finding a potential function pt 2

  • Thread starter Thread starter robertjford80
  • Start date Start date
  • Tags Tags
    Function Potential
Click For Summary

Homework Help Overview

The discussion revolves around finding a potential function for the vector field F = (y + z)i + (x + z)j + (x + y)k. Participants explore different approaches to derive the potential function and examine the nuances in their methods.

Discussion Character

  • Exploratory, Conceptual clarification, Mathematical reasoning

Approaches and Questions Raised

  • Participants discuss the method of taking antiderivatives with respect to each variable and the implications of duplicate terms in their results. There is also a suggestion to analyze the partial derivatives of the proposed potential function to verify its correctness.

Discussion Status

Some participants express confusion regarding the representation of the potential function and the presence of duplicate terms in their calculations. Others indicate that careful attention to these details can lead to valid results. The conversation reflects an ongoing exploration of the topic without a clear consensus on the best approach.

Contextual Notes

Participants mention the use of specific techniques from instructional videos and question the conventions used in textbook answers. There is an acknowledgment of potential misunderstandings regarding the formulation of the potential function.

robertjford80
Messages
388
Reaction score
0

Homework Statement



find the potential function f for field F

F = (y + z)i + (x + z)j + (x + y)k

here is the answer

Screenshot2012-05-30at35834AM.png


The Attempt at a Solution



From the videos I've seen it appears that finding the potential function is rather easy, just take the antiderivative of each equation, the first with respect to x, the next with respect to y, and the third with respect to z, then if there are duplicate terms, use only one of them once. Using that technique I get

(y + z)x + (x+z)y + (x+y)z + C

Clearly something else is going on that I'm not aware of.
 
Physics news on Phys.org
robertjford80 said:

Homework Statement



find the potential function f for field F

F = (y + z)i + (x + z)j + (x + y)k

here is the answer

Screenshot2012-05-30at35834AM.png
They write their answer in a rather curious way.

Why not f(x, y, z) = xy + yz + zx ?

The Attempt at a Solution



From the videos I've seen it appears that finding the potential function is rather easy, just take the antiderivative of each equation, the first with respect to x, the next with respect to y, and the third with respect to z, then if there are duplicate terms, use only one of them once. Using that technique I get

(y + z)x + (x+z)y + (x+y)z + C

Clearly something else is going on that I'm not aware of.

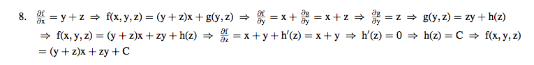
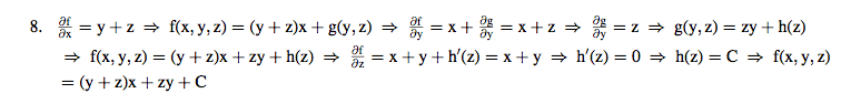
For your solution of f(x, y, z) = (y + z)x + (x+z)y + (x+y)z + C , try taking ∂f/∂x , ∂f/∂y , ∂f/∂z and see that it doesn't work.
 
Ok, I get it now, my way had several duplicate terms. And the book just uses an odd way to write xz + yx + zy
 
robertjford80 said:
Ok, I get it now, my way had several duplicate terms. And the book just uses an odd way to write xz + yx + zy
Yes, but if you're careful your way can work just fine.

[itex]\displaystyle \frac{\partial f}{\partial x}=y+z\quad\to\quad f(x,\,y,\,z)=xy+xz+\text{Some term not containing }x\text{ but including the constant, }C[/itex]

[itex]\displaystyle \frac{\partial f}{\partial y}=x+z\quad\to\quad f(x,\,y,\,z)=xy+yz+\text{Some term not containing }y\text{ but including the constant, }C[/itex]

[itex]\displaystyle \frac{\partial f}{\partial z}=y+z\quad\to\quad f(x,\,y,\,z)=xz+yz+\text{Some term not containing }z\text{ but including the constant, }C[/itex]

So by inspection we have that [itex]f(x,\,y,\,z)=xy+xz+yz+C[/itex]

Try this on your previous problem.
 
Last edited:

Similar threads

  • · Replies 8 ·
Replies
8
Views
2K
Replies
2
Views
2K
Replies
2
Views
1K
Replies
10
Views
2K
Replies
5
Views
3K
  • · Replies 11 ·
Replies
11
Views
2K
  • · Replies 8 ·
Replies
8
Views
2K
Replies
10
Views
1K
  • · Replies 2 ·
Replies
2
Views
2K
  • · Replies 5 ·
Replies
5
Views
2K