Finding domain of function (need an explanation for 2 Qs)

Click For Summary

Homework Help Overview

The discussion revolves around finding the domain of functions involving square roots and inequalities, specifically focusing on two questions from a provided image. Participants are examining the conditions under which certain expressions are valid.

Discussion Character

  • Exploratory, Assumption checking, Conceptual clarification

Approaches and Questions Raised

  • Participants are attempting to solve inequalities related to the domain of a function, specifically analyzing the expression x(x-5) > 0. Questions arise regarding the correctness of derived conditions and the implications of the inequality.

Discussion Status

The discussion is ongoing, with participants providing feedback on each other's reasoning. Some guidance has been offered regarding the interpretation of the inequality, suggesting a need to reconsider the conditions for x. There is no explicit consensus yet, as different interpretations are being explored.

Contextual Notes

Participants are reminded of forum rules regarding language use, which may influence the clarity of communication. The original poster has referenced a specific image for context, which is not visible in the thread.

iwantcalculus
Messages
15
Reaction score
1
Homework problem moved from a technical forum section
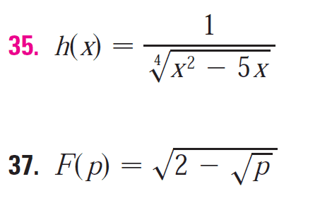
i need help with finding the domain for a function where there is a square root , here is the picture of such questions :

http://imgur.com/YcqadOe

YcqadOe.png

please see the picture, there are two questions in it, 35 and 37
let's start with question 35, this is how i try to solve it :

x^2 - 5x > 0

x (x-5) >0

x>0 and x-5>0 so the other answer is x>5

what to do after getting x>0 and x>5, are they even right?the real answer is: (-infinity, 0)u(5,infinity)
pls help!
 
Physics news on Phys.org
iwantcalculus said:
let's start with question 35, this is how i try to solve it :

x^2 - 5x > 0

x (x-5) >0

You are correct.

iwantcalculus said:
x>0 and x-5>0 so the other answer is x>5

what to do after getting x>0 and x>5, are they even right?

You should re-think about what conditions x should satisfy for x(x-5) to be greater than 0.
 
iwantcalculus said:
i need help with finding the domain for a function where there is a square root , here is the picture of such questions :

http://imgur.com/YcqadOe

YcqadOe.png

please see the picture, there are two questions in it, 35 and 37
let's start with question 35, this is how i try to solve it :

x^2 - 5x > 0

x (x-5) >0

x>0 and x-5>0 so the other answer is x>5

what to do after getting x>0 and x>5, are they even right?the real answer is: (-infinity, 0)u(5,infinity)
pls help!

Does "pls" mean "please"? Please avoid "text speak" here.

Anyway, ##x(x-5) > 0## does NOT imply that ##x>0## and ##x > 5##. (Note that if you know ##x > 5## you already know that ##x > 0##, so you don't need to list it as a separate condition.)

More precisely: the inequality ##x(x-5) > 0## means that both ##x## and ##x-5## are nonzero and have the same sign. They do not need to be > 0.
 
iwantcalculus said:
pls help!
As Ray points out, "textspeak" isn't permitted at this site.
From the forum rules (https://www.physicsforums.com/threads/physics-forums-global-guidelines.414380/):
Language:
All posts must be in English. Posts in other languages will be deleted. Pay reasonable attention to written English communication standards. This includes the use of proper grammatical structure, punctuation, capitalization, spacing, and spelling. In particular, "I" is capitalized, there's a space after (but not before) a comma, a period, and other punctuation. Multiple exclamation marks are also discouraged. SMS messaging shorthand ("text-message-speak"), such as using "u" for "you", "please" for "please", or "wanna" for "want to" is not acceptable.
 
  • Like
Likes   Reactions: RJLiberator
For question #37, consider what must occur:

You cannot have a negative under the square root. So we know that p must be 0 or greater than 0.

Now, use that same philosophy and the condition to fully solve the problem.
 

Similar threads

  • · Replies 3 ·
Replies
3
Views
1K
Replies
12
Views
2K
Replies
5
Views
2K
  • · Replies 2 ·
Replies
2
Views
2K
  • · Replies 2 ·
Replies
2
Views
2K
  • · Replies 4 ·
Replies
4
Views
3K
  • · Replies 1 ·
Replies
1
Views
1K
  • · Replies 15 ·
Replies
15
Views
2K
  • · Replies 2 ·
Replies
2
Views
2K
Replies
2
Views
2K