Finding Rotational matrix from axis-angle representation

Click For Summary
SUMMARY

The discussion focuses on deriving the rotational matrix R from an axis-angle representation, specifically using the axis vector u = (-1, -1, -1) and an angle of π/6. The user expresses uncertainty about their calculations and seeks assistance in verifying their results. Key insights include the importance of applying the rotational matrix to both the axis vector and a perpendicular vector to confirm correctness.

PREREQUISITES
  • Understanding of rotational matrices in 3D space
  • Familiarity with axis-angle representation of rotations
  • Knowledge of trigonometric functions for angle calculations
  • Basic linear algebra concepts, including vector operations
NEXT STEPS
  • Study the derivation of the Rodrigues' rotation formula
  • Learn how to apply rotational matrices to vectors in 3D
  • Explore the properties of orthogonal matrices and their applications
  • Investigate the implications of the right-hand rule in 3D rotations
USEFUL FOR

Students in physics or engineering, mathematicians working with 3D transformations, and anyone interested in computer graphics or robotics involving rotational dynamics.

fakecop
Messages
40
Reaction score
0

Homework Statement


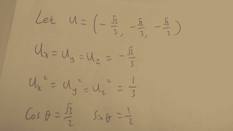
Given an axis vector u=(-1, -1, -1) , find the rotational matrix R corresponding to an angle of pi/6 using the right hand rule. Then find R(x), where x = (1,0,-1)

Homework Equations


I found the relevant equation on wikipedia (see attachment)

The Attempt at a Solution


I feel that I'm doing something wrong but I don't know what; I think I performed the calculations correctly.
upload_2014-12-3_5-9-50.png
upload_2014-12-3_5-10-6.png
upload_2014-12-3_5-9-57.png

Please help?http://blob:https%3A//www.physicsforums.com/99c786ac-ed37-4fb2-8cd5-0d1ea0a3afb5
 

Attachments

  • Capture.PNG
    Capture.PNG
    3.2 KB · Views: 540
  • upload_2014-12-3_5-9-14.png
    upload_2014-12-3_5-9-14.png
    49.8 KB · Views: 590
  • upload_2014-12-3_5-9-6.png
    upload_2014-12-3_5-9-6.png
    50.5 KB · Views: 628
Physics news on Phys.org
What makes you think something went wrong?
Have you tried testing it, i.e. by applying R to u, or to a vector perpendicular to u, and see if you get the right result?
 

Similar threads

Replies
4
Views
2K
  • · Replies 10 ·
Replies
10
Views
2K
  • · Replies 3 ·
Replies
3
Views
2K
  • · Replies 6 ·
Replies
6
Views
2K
  • · Replies 2 ·
Replies
2
Views
4K
  • · Replies 3 ·
Replies
3
Views
1K
  • · Replies 3 ·
Replies
3
Views
6K
Replies
1
Views
2K
  • · Replies 12 ·
Replies
12
Views
2K
  • · Replies 2 ·
Replies
2
Views
2K