Finding the acceleration of an object on a parabolic ramp

  • Thread starter Thread starter Jpyhsics
  • Start date Start date
  • Tags Tags
    Acceleration Ramp
Click For Summary

Homework Help Overview

The problem involves determining the horizontal acceleration of a block of ice on a frictionless surface after a puck is released from a parabolic trough. The setup includes a focus and vertex of the parabola, with specific dimensions provided for the puck and the trough.

Discussion Character

  • Exploratory, Assumption checking, Mathematical reasoning

Approaches and Questions Raised

  • Participants discuss the need for a free body diagram and the angle of the incline at the point of release. There is exploration of how to find the equation of the parabola and its relation to the problem. Questions arise about the choice of origin for calculations and the implications of the focus and height.

Discussion Status

Participants are actively engaging with the problem, sharing diagrams and equations. Some have suggested methods for finding the slope of the parabola and its relation to the angle of incline. There is recognition of the need for dimensional analysis and clarification on the correct approach to finding the slope.

Contextual Notes

There are constraints regarding the dimensions and relationships between the focus, vertex, and height of the parabola. Participants are also navigating the implications of using specific variables and ensuring dimensional consistency in their calculations.

Jpyhsics
Messages
84
Reaction score
2

Homework Statement


A long block of ice is resting on a table. A long trough with parabolic cross-section is cut out of the ice with length between the focus and the vertex of a=7.76 cm. A small puck with mass m2 = 0.751 kg is placed a distance h=16.8 cm above the bottom of the trough. What is the horizontal acceleration of the ice block (m1=2.084 kg) after the puck is released? All surfaces are frictionless. Express your answer in m/s2 with the +x direction being defined toward the right.

I currently have a free body diagram, but I am unsure where the vertex or height come intro play, because the shape is parabolic.

Homework Equations


F=ma

The Attempt at a Solution


ΣFx=m1a1
FBD-
M1: force floor, force normal of 2 on 1, force due to gravity
M2: force normal of 1 on 2, force due to gravity
 

Attachments

  • Screen Shot 2018-09-26 at 5.23.08 PM.png
    Screen Shot 2018-09-26 at 5.23.08 PM.png
    5.5 KB · Views: 637
Physics news on Phys.org
I assume the problem is asking for the horizontal component of the acceleration as soon as the small puck is released. Can you post you free body diagram? In this diagram, what is the value for the angle of the incline at the point of release? Other than the FBD, what else do you need to consider in order to solve this problem?
 
kuruman said:
I assume the problem is asking for the horizontal component of the acceleration as soon as the small puck is released. Can you post you free body diagram? In this diagram, what is the value for the angle of the incline at the point of release? Other than the FBD, what else do you need to consider in order to solve this problem?
I have attached my free body diagram. Yes, the angle is what puzzles me, because I can't figure out how to find the angle from the two heights.
 

Attachments

  • IMG_A7592B71465A-1.jpeg
    IMG_A7592B71465A-1.jpeg
    11.3 KB · Views: 590
Can you find the equation of the parabola? Then the slope at that point is related to the angle.
 
kuruman said:
Can you find the equation of the parabola? Then the slope at that point is related to the angle.
So how would I start? Where would I set my origin?
 
You can set your origin wherever you please and the horizontal acceleration will be the same. The question to ask is what is an origin that makes the calculation s simple as possible. You are given the focus and height h. Is there a relation between these? That might give you a clue about where to choose the origin.
 
kuruman said:
You can set your origin wherever you please and the horizontal acceleration will be the same. The question to ask is what is an origin that makes the calculation s simple as possible. You are given the focus and height h. Is there a relation between these? That might give you a clue about where to choose the origin.
Would it be easier to put the origin at the bottom of the bowl?
 
Sure. Either that or the focus. They are related by a constant.
 
kuruman said:
Sure. Either that or the focus. They are related by a constant.
So if we set the origin to the focus how would I begin to find the equation for my quadratic?
 
  • #10
The most general equation for a parabola is ##y(x)=Ax^2+Bx+C##. You need to find the constants ##A##, ##B## and ##C## that match the given parameters. You will also need to incorporate the meaning of the focus in terms of this equation. If you don't remember, please look it up.
 
  • #11
kuruman said:
The most general equation for a parabola is ##y(x)=Ax^2+Bx+C##. You need to find the constants ##A##, ##B## and ##C## that match the given parameters. You will also need to incorporate the meaning of the focus in terms of this equation. If you don't remember, please look it up.
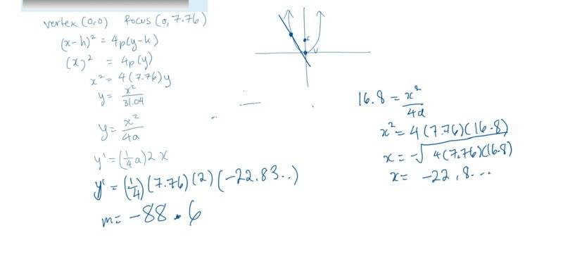
Since the vertex is at 0,0 would the equation be y=16.8/7.76x2? I assumed the two heights has to do with the vertical stretch. Would that be a correct assumption?
 
  • #12
Jpyhsics said:
Since the vertex is at 0,0 would the equation be y=16.8/7.76x2? I assumed the two heights has to do with the vertical stretch. Would that be a correct assumption?
How would I find the slope without a change in x?
Edit: oh so the focus would be at (0, 7.76) and vertex (0,0)
 
Last edited:
  • #13
Jpyhsics said:
How would I find the slope without a change in x?
Edit: oh so the focus would be at (0, 7.76) and vertex (0,0)
Okay so I found my equation to be:
y=x2/31.04 What do I do with this now?
 
  • #14
Figure out the local angle of the incline and use the FBD to find the acceleration.
 
  • #15
kuruman said:
Figure out the local angle of the incline and use the FBD to find the acceleration.
What do you mean by local angle? So would I find a tangent to the parabola? and use that line to find the angle?
 
  • #16
Yes. I also think you should sit down and devise a strategy for answering the question. This means taking stock of what you know already and what else you need to find out and how. I strongly recommend hat you write your parabola equation as y = x2/(4a) and substitute the numbers at the very end.
 
  • #17
kuruman said:
Yes. I also think you should sit down and devise a strategy for answering the question. This means taking stock of what you know already and what else you need to find out and how. I strongly recommend hat you write your parabola equation as y = x2/(4a) and substitute the numbers at the very end.
Does my approach seem okay?
 

Attachments

  • IMG_610078EB04EC-1.jpeg
    IMG_610078EB04EC-1.jpeg
    18 KB · Views: 471
  • #18
Your approach is OK, but your algebra is faulty. The slope must be a dimensionless quantity. Your slope has dimensions of length squared.

Once you get the correct slope, what do you think you should do next?
 
  • #19
I found the slope using the derivative, but since it requires a x coordinate and I only have a y value (the height=16.8). I found the equation x=-2a√ah, which I then used to plug into my derivative to find the number value of the slope. m=-a√ah where a and h are constants as indicated on the diagram. So what do you mean by dimensionless? Using the slope, do I equate it to tanθ, then find the angle?
 
  • #20
Look at your equation ##x=-2a\sqrt{ah}##. The left side must have dimensions of length [L]. The right side has dimensions [L][L]1/2[L]1/2 = L2. Your calculation for x is incorrect. The slope itself should be dimensionless because it is the ratio of two lengths. Your slope has dimensions of length squared, which is surface area. If you are new to dimensional analysis check out this
https://en.wikipedia.org/wiki/Dimensional_analysis
Pay particular attention to the section on "Dimensional homogeneity".
 
  • #21
kuruman said:
Look at your equation ##x=-2a\sqrt{ah}##. The left side must have dimensions of length [L]. The right side has dimensions [L][L]1/2[L]1/2 = L2. Your calculation for x is incorrect. The slope itself should be dimensionless because it is the ratio of two lengths. Your slope has dimensions of length squared, which is surface area. If you are new to dimensional analysis check out this
https://en.wikipedia.org/wiki/Dimensional_analysis
Pay particular attention to the section on "Dimensional homogeneity".
Could you please help me get started on finding the slope?
 
  • #22
You don't need help to find the slope. In the image posted in #17 you correctly found the slope $$y'=\left( \frac{1}{4a} \right)2x.$$What follows in the next line is incorrect. I recommend that you substitute the value of ##x## at which ##y=h## in the expression for the slope that you know is correct. If you do it right, you will get something different from what you put down.
 
  • #23
Does this look better? Where would I go from here?
 

Attachments

  • IMG_0C1254B6F38E-1.jpeg
    IMG_0C1254B6F38E-1.jpeg
    16.3 KB · Views: 469
  • #24
Jpyhsics said:
Does this look better? Where would I go from here?
You have an error:
upload_2018-9-28_12-12-20.png


##\displaystyle y=\frac{x^2}{4a} ##
which gives: ##\displaystyle \ y'=\frac{2x}{4a} \text{ which, b the way } =\frac{x}{2a}##
Those are OK.

But then when you plug in for ##\ a\,, \ ## you moved ##\ a \ ## to the numerator.

Using the variable, ##\ m\,, \ ## for slope may be a bad choice in a problem mass in it.

Also, (and I'm quite sure that @kuruman would agree) your work will be much easier to follow ( for both you and anybody reading it ) if you complete the problem before you start plugging in values.
 

Attachments

  • upload_2018-9-28_12-12-20.png
    upload_2018-9-28_12-12-20.png
    13.7 KB · Views: 514
Last edited:
  • #25
Jpyhsics said:
Does this look better? Where would I go from here?
No, it does not. In fact it looks exactly the same as what you posted earlier in #17. The idea is to go back and redo the algebra as I indicated in #22. As for where you would go from here, I suggest that you develop a strategy and tell us what it is. You started by drawing a free body diagram. Okay, that's a good starting point. How are you going to use it and how will it help you find the horizontal acceleration of the block? What else are you going to bring into the picture?

SammyS said:
Also, (and I'm quite sure that @kuruman would agree) your work will be much easier to follow ( for both you and anybody reading it ) if you complete the problem before you start plugging in values.
I agree 300%.
 
Last edited:
  • Like
Likes   Reactions: SammyS

Similar threads

Replies
15
Views
2K
Replies
23
Views
3K
  • · Replies 25 ·
Replies
25
Views
4K
  • · Replies 4 ·
Replies
4
Views
3K
Replies
17
Views
2K
  • · Replies 13 ·
Replies
13
Views
3K
  • · Replies 4 ·
Replies
4
Views
2K
  • · Replies 1 ·
Replies
1
Views
2K
  • · Replies 3 ·
Replies
3
Views
2K
Replies
14
Views
3K