Finding the horizontal force that the road applies to the car

Click For Summary

Homework Help Overview

The discussion revolves around determining the horizontal force exerted by the road on a car at points B and C, given the car's weight, acceleration, radius of curvature, and distances between points. The subject area includes dynamics and kinematics, particularly focusing on forces in a normal-tangential coordinate system.

Discussion Character

  • Exploratory, Assumption checking, Conceptual clarification

Approaches and Questions Raised

  • Participants discuss the use of kinematics to find velocity and centripetal force, while questioning the definitions of weight versus mass. There are inquiries about the geometry of the problem, particularly the need for angles and the radius of curvature at points B and C. The concept of an inflection point and its implications for curvature and acceleration direction are also explored.

Discussion Status

The discussion is active, with participants offering insights into the relationships between weight, mass, and force. Some express confusion regarding the radius of curvature and its relevance at different points, while others suggest focusing on the acceleration at point B. There is a recognition of the need to clarify assumptions and definitions to move forward.

Contextual Notes

Participants note the lack of explicit information regarding angles and the radius of curvature at point B, which complicates calculations. The distinction between pound force and pound mass is also a point of confusion that may affect understanding.

rugerts
Messages
153
Reaction score
11

Homework Statement


Given weight car = 2500lb, acceleration = constant = 2 ft/s^2, radius of curvature at C = 1000 ft, distance between A and B = 1300 ft, distance between B and C = 900 ft

Find horizontal force of road on car at B and C.

Homework Equations


F = ma in normal-tangential coordinate system

The Attempt at a Solution


I tried using kinematics, since I've got constant acceleration, to find the velocity, in order to use that to find the centripetal force. From there, I'm trying to find the Normal force. I'm using normal tangential coordinate system. I'm having trouble recognizing the geometry of the situation, since I seem to need to know angles. I tried using the arc sector formula. The answer I'm getting is way off of the one shown below in the image.

(Ignore the cos(0.9), that's in radians by accident. I forgot to change that on the image)
 

Attachments

  • IMG_0970.jpeg
    IMG_0970.jpeg
    24.7 KB · Views: 416
  • IMG_0969.jpg
    IMG_0969.jpg
    45.5 KB · Views: 352
Physics news on Phys.org
rugerts said:
Given weight car = 2500lb,
Is that the weight or the mass? They don't actually say, just, "a 2500lb car"
acceleration = constant = 2 ft/s^2
, radius of curvature at C = 1000 ft,
distance between A and B = 1300 ft,
distance between B and C = 900 ft
The diagram gives one more important piece of info about B.
Find horizontal force of road on car at B and C.[

F = ma in normal-tangential coordinate system
I'm not sure what you mean by "normal-tangential coordinate system" but that's probably my ignorance. F=ma seems a reasonable relation to use.
I tried using kinematics, since I've got constant acceleration, to find the velocity,
So let's see that for starters.
in order to use that to find the centripetal force.
So when you have the speeds, let's see that.
From there, I'm trying to find the Normal force. I'm using normal tangential coordinate system. I'm having trouble recognizing the geometry of the situation, since I seem to need to know angles.
I don't know why you need angles.

I think maybe it would be good to get as far as the speed. Then say what you are thinking about centripetal forces.
 
Merlin3189 said:
Is that the weight or the mass? They don't actually say, just, "a 2500lb car"

The diagram gives one more important piece of info about B.
I'm not sure what you mean by "normal-tangential coordinate system" but that's probably my ignorance. F=ma seems a reasonable relation to use.
So let's see that for starters.
So when you have the speeds, let's see that.
I don't know why you need angles.

I think maybe it would be good to get as far as the speed. Then say what you are thinking about centripetal forces.
2500 lb is a weight yes. We'd divide by 32.2 ft/s^2 to get the mass. Is the extra piece of info pertaining to the inflection point?
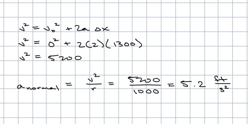
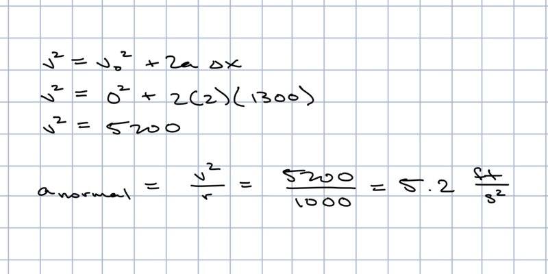
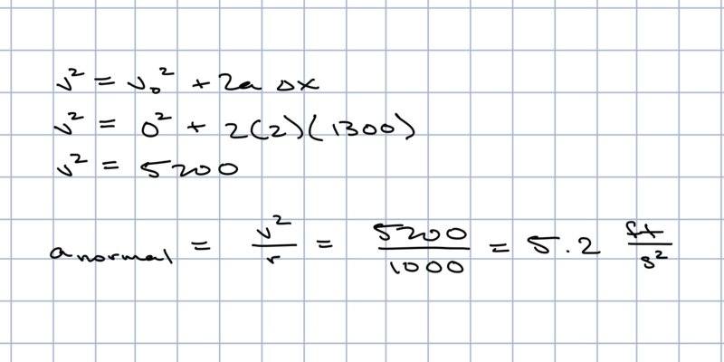
Here's my work showing the velocities and also what I mean by normal tangential coordinate system.
 

Attachments

  • IMG_0971.jpg
    IMG_0971.jpg
    27.2 KB · Views: 315
  • nt.jpg
    nt.jpg
    36.6 KB · Views: 349
rugerts said:
Is the extra piece of info pertaining to the inflection point?
Yes.
2500 lb is a weight yes. We'd divide by 32.2 ft/s^2 to get the mass.
So the weight is 2500 lb ft/sec2 and we divide by g to get a mass of 2500 / 32.2 = 77.6 lb
That seems very light for a car. So I'd have thought the mass would be 2500 lb (just over a ton) and the weight would be mg.
tempcalc1.jpg

You don't say what you are doing here (IMO v.bad!)
but from the u=0 and s=1300 I guess it's A to B
but from the r=1000 I guess it is C

That could be part of your difficulty: you are using the speed at B to calculate the force at C.
 

Attachments

  • tempcalc1.jpg
    tempcalc1.jpg
    27.2 KB · Views: 701
Merlin3189 said:
Yes.
So the weight is 2500 lb ft/sec2 and we divide by g to get a mass of 2500 / 32.2 = 77.6 lb
That seems very light for a car. So I'd have thought the mass would be 2500 lb (just over a ton) and the weight would be mg.
View attachment 232795
You don't say what you are doing here (IMO v.bad!)
but from the u=0 and s=1300 I guess it's A to B
but from the r=1000 I guess it is C

That could be part of your difficulty: you are using the speed at B to calculate the force at C.
I need the force at B first. Which is why I calculate the speed at B. It's stated in the problem. I think you're confusing lb force and slugs. Slugs is a unit of mass I'm using.
 
rugerts said:
I need the force at B first. Which is why I calculate the speed at B. It's stated in the problem.
But if you want the force at B and calculate the speed at B, why use the radius at C ?
I think you're confusing lb force and slugs. Slugs is a unit of mass I'm using.
Wow! That might be the cause of my confusion. I've never heard of slugs (and I'm old, British and used imperial measures when I was younger.)
So the car is 77.64 slug and you are using lb to stand for pound force rather than pound mass. That'll help me follow your work.

Anyhow, look very carefully at the question again to work out what the radius of curvature is at B.
 
Merlin3189 said:
But if you want the force at B and calculate the speed at B, why use the radius at C ?

Wow! That might be the cause of my confusion. I've never heard of slugs (and I'm old, British and used imperial measures when I was younger.)
So the car is 77.64 slug and you are using lb to stand for pound force rather than pound mass. That'll help me follow your work.

Anyhow, look very carefully at the question again to work out what the radius of curvature is at B.
Yeah, I think that's what my problem was. I wasn't using the correct radius of curvature. Would an arc-sector relationship formula be useful here to find that radius of curvature? I made an assumption that the radius of curvature would somehow be the same, even though it didn't feel right.
 
Do you know what a point of inflexion is?

Otherwise, which way is the centripetal acceleration between A and B, then which way is it from B to C?
What does that tell you about B?
 
Merlin3189 said:
Do you know what a point of inflexion is?

Otherwise, which way is the centripetal acceleration between A and B, then which way is it from B to C?
What does that tell you about B?
Doesn't a point of inflection say something about symmetry?
 
  • #10
Yes it does.

Sorry to dive in here but perhaps you are missing something obvious...

To calculate the force on the car (at any point) you need to know how it's accelerating rather than its velocity. The acceleration could be linear, centripetal or some combination of both. So what's the acceleration at B?
 
  • #11
rugerts said:
Doesn't a point of inflection say something about symmetry?
Not really. It just says that the curvature is changing sign.
 
  • #12
Merlin3189 said:
Do you know what a point of inflexion is?

Otherwise, which way is the centripetal acceleration between A and B, then which way is it from B to C?
What does that tell you about B?
it'll just say the acceleration (centripetal) is pointing inward, which will be different for both sides, since the curvature of the road changes. I knew this before. I'm having trouble calculating actual values because I'm unsure about angles and radius of curvature where it's not given (so for C it's given as 1000ft)
 
  • #13
rugerts said:
will be different for both sides, since the curvature of the road changes
if the curvature is changing smoothly, has one sign for A to B, and the opposite sign for B to C, what is the curvature at B?
 
  • Like
Likes   Reactions: CWatters
  • #14
rugerts said:
it'll just say the acceleration (centripetal) is pointing inward, which will be different for both sides, since the curvature of the road changes. I knew this before. I'm having trouble calculating actual values because I'm unsure about angles and radius of curvature where it's not given (so for C it's given as 1000ft)
You don't actually need to know the radius before or after B to work out the acceleration at B. Think more about what an inflection point is. If the we were to call the radius before B positive and after B it's negative, what would the radius be at B?
 

Similar threads

Replies
7
Views
2K
  • · Replies 17 ·
Replies
17
Views
4K
  • · Replies 13 ·
Replies
13
Views
7K
Replies
6
Views
4K
  • · Replies 6 ·
Replies
6
Views
2K
  • · Replies 39 ·
2
Replies
39
Views
4K
  • · Replies 9 ·
Replies
9
Views
5K
  • · Replies 12 ·
Replies
12
Views
2K
  • · Replies 7 ·
Replies
7
Views
3K
Replies
4
Views
2K