Finding the Limit of n(ln(n+10) - ln(n))

  • Thread starter Thread starter physstudent1
  • Start date Start date
  • Tags Tags
    Limit
Click For Summary

Homework Help Overview

The discussion revolves around finding the limit as n approaches infinity of the expression n(ln(n+10) - ln(n)). The problem is situated within the context of calculus, specifically dealing with limits and logarithmic functions.

Discussion Character

  • Exploratory, Mathematical reasoning, Problem interpretation

Approaches and Questions Raised

  • Participants explore various methods to simplify the logarithmic expression, including combining logarithms and applying L'Hôpital's rule. Some express confusion over their attempts and results, while others suggest alternative approaches, such as using the properties of logarithms and infinite series.

Discussion Status

The discussion includes multiple interpretations of the problem, with participants sharing their attempts and methods. Some guidance has been offered regarding the use of logarithmic identities and L'Hôpital's rule, but there is no explicit consensus on a single approach or solution.

Contextual Notes

Participants mention being in the context of exam review, indicating a potential pressure to arrive at a correct answer. There is also a reference to a formula sheet, suggesting reliance on known results during the discussion.

physstudent1
Messages
267
Reaction score
1

Homework Statement



find the limit as n->oo of n(ln(n+10)-ln(n))

Homework Equations





The Attempt at a Solution



the answer is 10 this is also part of my exam review I am pretty lost on this one I tried using log rules to combine the terms tried getting it in form for L'H but I don't know what to do.
 
Physics news on Phys.org
What did you try?
 
I think I just found the answer...I combined the ln terms so ln((n+10)/n)^n = L then I exponentiated both sides to give ((n+10)/n)^n= e^L then The limit of (1 + 10/n)^n = e^10 = e^L so taking the ln of both sides gives 10 = L (I know the limit of (1 + 10/n)^n = e^10 because it is a given formula on my formula sheet)
 
That's one way. To use log rules try ln(n+10)-ln(n)=ln((n+10)/n)=ln(1+10/n). Now write it as ln(1+10/n)/(1/n) which is 0/0 and do l'Hopital.
 
I keep getting the wrong answer with this method I do L'H from where you said and I get (n/(1+10)*(-1(1+10)/n^2)*-n^2 ...
 
Last edited:
finally got it thanks
 
Even if you got it, I can point out another method. Combine the two logarithms to get n*ln(1+10/n), then write ln as an infinite sum (ln(1+x)=x-x^2/2+x^3/3-... if -1<x<1, which obviously is true for n->oo), and the solution comes immediately.
 
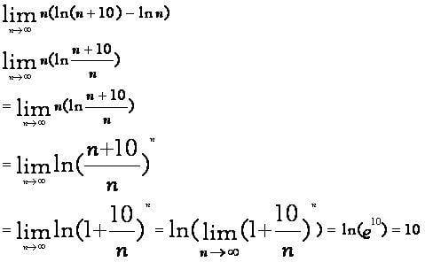
lim(n(ln(n+10)-lnn)=10
n__>inf
 
the lim.solution:
 

Attachments

  • lim(n).JPG
    lim(n).JPG
    14.3 KB · Views: 439

Similar threads

Replies
15
Views
2K
  • · Replies 7 ·
Replies
7
Views
2K
  • · Replies 5 ·
Replies
5
Views
1K
Replies
2
Views
1K
  • · Replies 23 ·
Replies
23
Views
2K
  • · Replies 2 ·
Replies
2
Views
4K
  • · Replies 22 ·
Replies
22
Views
4K
  • · Replies 4 ·
Replies
4
Views
4K
Replies
10
Views
2K
  • · Replies 8 ·
Replies
8
Views
2K