How do you evaluate this limit?

  • Thread starter Thread starter Leo Liu
  • Start date Start date
  • Tags Tags
    Limit
Click For Summary

Homework Help Overview

The discussion revolves around evaluating the limit $$\lim_{x\to 0^+}(1-\cos (\sqrt x))^{\sin(x)}$$, which falls under the subject area of calculus, specifically limits and indeterminate forms.

Discussion Character

  • Exploratory, Assumption checking, Mathematical reasoning

Approaches and Questions Raised

  • Participants discuss various attempts to evaluate the limit, including the use of logarithmic transformations and L'Hôpital's rule. Some express concern about the complexity of the resulting expressions and the potential for remaining in intermediate forms.

Discussion Status

The discussion is ongoing, with multiple participants offering different strategies and insights. Some suggest using trigonometric identities or Taylor series expansions, while others emphasize the need for careful differentiation. There is no explicit consensus on a single approach, but several productive lines of reasoning are being explored.

Contextual Notes

Participants mention the complexity of the limit and the potential need for advanced techniques, indicating that some may not have covered certain topics in their coursework yet.

Leo Liu
Messages
353
Reaction score
156
Homework Statement
$$\lim_{x\to 0^+}(1-\cos (\sqrt x))^{\sin(x)}$$
Relevant Equations
.
I tried taking e^ln but to no avail. Please help! Thanks.

My attempt:
$$\lim_{x\to 0^+}(1-\cos (\sqrt x))^{\sin(x)}$$
$$\lim_{x\to 0^+}e^{\ln (1-\cos\sqrt x)^{\sin x}}$$
$$\lim_{x\to 0^+}e^{{\sin x}\ln (1-\cos\sqrt x)}$$
$$\lim_{x\to 0^+}\exp(\frac{\ln (1-\cos\sqrt x)}{1/\sin x})$$
If I apply Lhospital's rule to this limit, the result will be quite complicated and will remain in intermediate form. I also reached wolfram alpha for help, yet the step by step solution is terse.
 
Physics news on Phys.org
Leo Liu said:
Homework Statement:: $$\lim_{x\to 0^+}(1-\cos (\sqrt x))^{\sin(x)}$$
Relevant Equations:: .

I tried taking e^ln but to no avail. Please help! Thanks.

My attempt:
$$\lim_{x\to 0^+}(1-\cos (\sqrt x))^{\sin(x)}$$
$$\lim_{x\to 0^+}e^{\ln (1-\cos\sqrt x)^{\sin x}}$$
$$\lim_{x\to 0^+}e^{{\sin x}\ln (1-\cos\sqrt x)}$$
$$\lim_{x\to 0^+}\exp(\frac{\ln (1-\cos\sqrt x)}{1/\sin x})$$
If I apply Lhospital's rule to this limit, the result will be quite complicated and will remain in intermediate form. I also reached wolfram alpha for help, yet the step by step solution is terse.
Just keep going with l'Hopital, complicated or not.

You don't need the exponential.
 
  • Like
Likes   Reactions: Leo Liu
You could use the trig identity ##\sin^2 \frac \theta 2 = \frac{1-\cos \theta}{2}## to simplify the numerator before differentiating.
 
  • Like
Likes   Reactions: Leo Liu
PeroK said:
Just keep going with l'Hopital, complicated or not.

You don't need the exponential.
I am lazy so I let MMA do the job for me. Here is what I got after differentiating the fraction twice:
1613254741339.png

Although the graph verifies that the limit is indeed 0 as x approaches 0 from right side, it seems that Num2/Den2 is still in intermediate form. I doubt that we will obtain an answer by blindly differentiating the fraction. Thanks anyway.
 
Do you know what the Taylor series for sine and cosine are, or have you not reached that part in your class yet?
 
After the first round of differentiation, you should be able to show that you end up with
$$-\frac 14 \cdot \frac{\sin \sqrt x}{\sqrt x} \cdot \frac{\sin x}{\sin \frac{\sqrt x}2} \cdot \frac{\tan x}{\sin \frac{\sqrt x}2}.$$ Calculate the limit of each factor.
 
  • Like
Likes   Reactions: Leo Liu
vela said:
After the first round of differentiation, you should be able to show that you end up with
$$-\frac 14 \cdot \frac{\sin \sqrt x}{\sqrt x} \cdot \frac{\sin x}{\sin \frac{\sqrt x}2} \cdot \frac{\tan x}{\sin \frac{\sqrt x}2}.$$ Calculate the limit of each factor.
This is helpful. Thank you. I didn't expect this question could be so complex.
 
By Taylor expansion it is
[tex]\lim_{x \rightarrow +0} (\frac{x}{2}+o(x^2))^{x+o(x^3)}=\lim_{x \rightarrow +0} x^x=1-0[/tex]
 
Last edited:
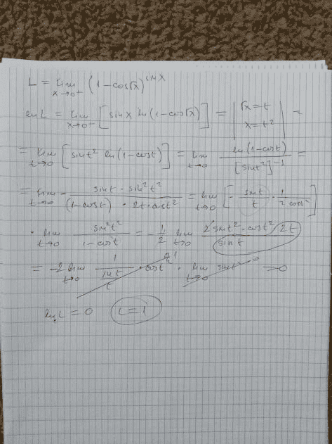
Someone on reddit sent me his work:
1613320984606.png

So the key is to use the substitution ##x=t^2## to simplify the expression and to notice ##\lim_{t\to 0} 2t/\sin t=2## before applying the product rule of limit.
Credit to @vladislavsrb
 

Similar threads

Replies
5
Views
3K
  • · Replies 13 ·
Replies
13
Views
2K
  • · Replies 5 ·
Replies
5
Views
2K
Replies
16
Views
3K
Replies
4
Views
2K
  • · Replies 15 ·
Replies
15
Views
2K
Replies
2
Views
2K
  • · Replies 18 ·
Replies
18
Views
2K
  • · Replies 4 ·
Replies
4
Views
2K